| ²é¿´: 308 | »Ø¸´: 2 | ||
bonze83½ð³æ (СÓÐÃûÆø)
|
[ÇóÖú]
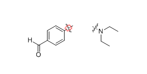
Çë¸÷λ´óÏÀ°ïæ½âÎöһϻ¯ºÏÎï½á¹¹£¨ÇâÆ×¡¢Ì¼Æ×¡¢ÖÊÆ×¶¼ÓУ¬»¯ºÏÎï´¿¶È½Ï¸ß£©
|
|
¸Ã»¯ºÏÎïΪ΢ÉúÎï´úл²úÎÖÊÆ×ÏÔʾ·Ö×ÓÁ¿Îª244¡£ Çë¸÷λ°ï濴һϣ¬¸Ð¾õ×Ô¼º½âÆ×µÄ¹ý³ÌÖÐÓе㶨Ïò˼άÁË£¬Ï£Íû´ó¼ÒÄܸøÐ¡µÜÌṩµãеÄ˼·¡£[ À´×Ô¿ÆÑмÒ×å Natural Products¼Ò×å ] |
» ±¾Ìû¸½¼þ×ÊÔ´Áбí
-
»¶Ó¼à¶½ºÍ·´À¡£ºÐ¡Ä¾³æ½öÌṩ½»Á÷ƽ̨£¬²»¶Ô¸ÃÄÚÈݸºÔð¡£
±¾ÄÚÈÝÓÉÓû§×ÔÖ÷·¢²¼£¬Èç¹ûÆäÄÚÈÝÉæ¼°µ½ÖªÊ¶²úȨÎÊÌ⣬ÆäÔðÈÎÔÚÓÚÓû§±¾ÈË£¬Èç¶Ô°æÈ¨ÓÐÒìÒ飬ÇëÁªÏµÓÊÏ䣺xiaomuchong@tal.com - ¸½¼þ 1 : E4A1X1.pdf
2012-02-21 09:41:17, 555.89 K
» ²ÂÄãϲ»¶
ר˶310Çóµ÷¼Á
ÒѾÓÐ5È˻ظ´
081700»¯Ñ§¹¤³ÌÓë¼¼Êõ Ò»Ö¾Ô¸Öк£Ñó 323 Çóµ÷¼ÁѧУ
ÒѾÓÐ14È˻ظ´
085600£¬321·ÖÇóµ÷¼Á
ÒѾÓÐ5È˻ظ´
Ò»Ö¾Ô¸¶«±±´óѧ085901ÍÁľר˶345Çóµ÷¼Á
ÒѾÓÐ3È˻ظ´
Ò»Ö¾Ô¸¹þ¶û±õ¹¤Òµ´óѧ085600Ó¢Ò»Êý¶þ337·ÖÇóµ÷¼Á
ÒѾÓÐ9È˻ظ´
¹¤¿Æ11408£¬314Çóµ÷¼Á£¬ÓÐÏîÄ¿¾Ñ飬Á˽âtransformer£¬ÄÜѵÁ·Ä£ÐÍ¡£
ÒѾÓÐ3È˻ظ´
348·Ö»·¾³¹¤³Ì¡¤µ÷¼Á
ÒѾÓÐ11È˻ظ´
359Çóµ÷¼Á
ÒѾÓÐ3È˻ظ´
0703Çóµ÷¼Á
ÒѾÓÐ6È˻ظ´
Ò»Ö¾Ô¸0817»¯Ñ§¹¤³ÌÓë¼¼Êõ£¬Çóµ÷¼Á
ÒѾÓÐ26È˻ظ´
» ±¾Ö÷ÌâÏà¹ØÉ̼ÒÍÆ¼ö: (ÎÒÒ²ÒªÔÚÕâÀïÍÆ¹ã)
» ±¾Ö÷ÌâÏà¹Ø¼ÛÖµÌùÍÆ¼ö£¬¶ÔÄúͬÑùÓаïÖú:
»¯ºÏÎï½á¹¹½âÎö
ÒѾÓÐ4È˻ظ´
·´Ó¦Îï»îÐԵͣ¬ÇóÖú¸÷λ´óÏÀ£¬ÈçºÎ¸Ä±äÌõ¼þºÏ³ÉÕâ¸ö»¯ºÏÎï
ÒѾÓÐ5È˻ظ´
ÇóÖú½âÎöÒ»ÖÊÆ×
ÒѾÓÐ8È˻ظ´
Çë¸÷λ´óÉñ°ïæȷ¶¨Ð»¯ºÏÎï½á¹¹Ê½
ÒѾÓÐ5È˻ظ´
Çó´óÏÀ£¬½á¹¹¼ø¶¨¡¡ÖÊÆ×£¬ºìÍâµÈ
ÒѾÓÐ4È˻ظ´
Âé·³¸÷λ´óÏÀ°ïæ¿´¿´ÕâÊÇʲô¾ú£¿
ÒѾÓÐ7È˻ظ´
¿´ÏÂÕâ¸öÇâÆ×Ôõô½â
ÒѾÓÐ12È˻ظ´
ÒºÏà-ÖÊÆ×·ÖÎöÖеÄÒ»¸öÎÊÌâÇóÖú¸÷λ´óÏÀ
ÒѾÓÐ10È˻ظ´
Ò»¸öÒÑÖª»¯ºÏÎÈýÝÆ£©¶¼ÐèÒª´òʲôÆ×ͼ
ÒѾÓÐ6È˻ظ´
°ïæŪһϽṹ
ÒѾÓÐ8È˻ظ´
¸÷λ´óÏÀÃǰïæ¿´¿´Õâ¸ö»¯ºÏÎï½á¹¹Ó¦¸ÃÊÇʲôÑùµÄ
ÒѾÓÐ5È˻ظ´
Ðé¹¹Ò»ÖÖÓлú»¯ºÏÎÏëÖªµÀÕâÖÖδ֪»¯ºÏÎïµÄÎﻯÐÔÄÜ£¬ÓÃʲôÈí¼þºÏÊÊ£¿
ÒѾÓÐ6È˻ظ´
´ó»·ÄÚÖ¬À໯ºÏÎïµÄ½á¹¹½âÎö
ÒѾÓÐ9È˻ظ´
ºË´Å/ÖÊÆ×½âÆ×¸ßÊÖ°ïæ¿´¿´Õâ¸ö»¯ºÏÎï½á¹¹Ôõô½âÎö
ÒѾÓÐ12È˻ظ´
Ò»¼¶ÖÊÆ×Óë¶þ¼¶ÖÊÆ×
ÒѾÓÐ10È˻ظ´
Ò»¼¶ÖÊÆ×½âÎö£¬ÇóÖú¡£¸÷λ´óÏÀ°ïæ¿´ÏÂѽ£¡£¡£¡
ÒѾÓÐ3È˻ظ´
ÈçºÎÈ·¶¨¸Ã½á¹¹µÄÏà¶Ô¹¹ÐÍ
ÒѾÓÐ15È˻ظ´
ÇóÖúÈçϵÄÁ½¸ö»¯ºÏÎïÈçºÎͨ¹ýÆ×ͼÐÅÏ¢À´È·Ö¤¾ßÌåÊÇÄĸö½á¹¹£¿ лл
ÒѾÓÐ27È˻ظ´
¡¾ÇóÖú¡¿Ààú½á¹¹Ä£ÐÍ»¯ºÏÎïµÄÑ¡Ôñ
ÒѾÓÐ8È˻ظ´
¡¾ÇóÖú¡¿°ïæ²éһϵ¥¾§ÊÇ·ñ·¢¹ý
ÒѾÓÐ5È˻ظ´
¡¾ÇóÖú¡¿Çë´óÏÀÃǰïæ¿´¿´Õâ¸öÊÇÔõô°Ñ²»ÊʺÏ×öµ¥¾§ÑÜÉäµÄ»¯ºÏÎï½øÐе¥¾§·ÖÎöµÄ£¿
ÒѾÓÐ6È˻ظ´
renfucai
ľ³æ (СÓÐÃûÆø)
- Ó¦Öú: 11 (СѧÉú)
- ½ð±Ò: 1780.3
- ºì»¨: 2
- Ìû×Ó: 109
- ÔÚÏß: 137.9Сʱ
- ³æºÅ: 1497510
- ×¢²á: 2011-11-18
- ÐÔ±ð: GG
- רҵ: ÌìȻҩÎﻯѧ

2Â¥2012-02-21 15:38:27
renfucai
ľ³æ (СÓÐÃûÆø)
- Ó¦Öú: 11 (СѧÉú)
- ½ð±Ò: 1780.3
- ºì»¨: 2
- Ìû×Ó: 109
- ÔÚÏß: 137.9Сʱ
- ³æºÅ: 1497510
- ×¢²á: 2011-11-18
- ÐÔ±ð: GG
- רҵ: ÌìȻҩÎﻯѧ
¡¾´ð°¸¡¿Ó¦Öú»ØÌû
¸Ðл²ÎÓ룬ӦÖúÖ¸Êý +1
karl2100(½ð±Ò+1): лл£¡ 2012-02-21 18:50:57
karl2100(½ð±Ò+1): лл£¡ 2012-02-21 18:50:57
|
Á½¸öƬ¶Î»¹ÊÇͦÃ÷È·µÄ£¬Öм仹²»È·¶¨£¬Äã×Ô¼º¿´¿´ÖÊÆ×£¬È·ÈÏһϠhttp://muchong.com/bbs/viewthread.php?tid=4090113&fpage=1 |

3Â¥2012-02-21 15:42:12














»Ø¸´´ËÂ¥