| ²é¿´: 2145 | »Ø¸´: 9 | ||||
gloomy2004½ð³æ (ÖøÃûдÊÖ)
|
[ÇóÖú]
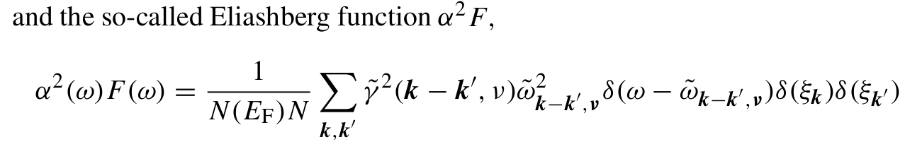
ÇëÎÊ£¬ ÈçºÎµÃµ½a2f(w) ͼ£¿
|
| ÇëÎÊ´Ópwscf¼ÆËãµçÉùÏ໥×÷Óùý³ÌÖУ¬ Ó¦¸ÃÓÐa2F(w)-w¹ØÏµµÃµ½£¬ ÔÚÄĸöÎļþÀïÃæÄØ£¿ÎҲ鿴Á˼¸¸öÎļþ£¬ ¸ñʽ¶¼²»¶Ô°¡£¬ ²»ÊǶþάÊý¾Ý£¬ ÐèÒªÊý¾ÝºóÐø´¦Àí²ÅÄܵõ½Õâ¸ö¹ØÏµÍ¼Â𣿠|
» ²ÂÄãϲ»¶
291Çóµ÷¼Á
ÒѾÓÐ7È˻ظ´
300Çóµ÷¼Á
ÒѾÓÐ8È˻ظ´
Çóµ÷¼ÁÍÆ¼ö
ÒѾÓÐ7È˻ظ´
289 ·Ö105500ҩѧר˶Çóµ÷¼Á(ÕÒBÇøÑ§Ð£)
ÒѾÓÐ4È˻ظ´
0854Çóµ÷¼Á
ÒѾÓÐ13È˻ظ´
³õÊÔ324 ÖÐҩѧ Ò»Ö¾Ô¸ÌìÖÐÒ½ Çóµ÷¼Á
ÒѾÓÐ3È˻ظ´
ҩѧÇóµ÷¼Á
ÒѾÓÐ14È˻ظ´
327Çóµ÷¼Á
ÒѾÓÐ27È˻ظ´
¼±Ðèµ÷¼Á
ÒѾÓÐ5È˻ظ´
271Çóµ÷¼Á
ÒѾÓÐ33È˻ظ´
» ±¾Ö÷ÌâÏà¹Ø¼ÛÖµÌùÍÆ¼ö£¬¶ÔÄúͬÑùÓаïÖú:
Ëþ·Æ¶ûÇúÏßÈçºÎµÃµ½£¿´ÓCHIÉϵÄËþ·Æ¶ûͼ²âÊÔÖ±½ÓµÃµ½µÄÇúÏß׼ȷÂð£¿
ÒѾÓÐ20È˻ظ´
ÇëÎÊ´ÓÕâ¸öºìÍâÆ×ͼÉÏ¿ÉÒԵõ½Ê²Ã´ÐÅÏ¢£¬Òª½øÒ»²½È·ÈÏ·Ö×ӽṹ»¹ÐèÒª×öʲô²âÊÔ£¡
ÒѾÓÐ9È˻ظ´
ÏìÓ¦ÃæÈçºÎµÃµ½ÕâÖÖͼ°¡
ÒѾÓÐ10È˻ظ´
ÇóÖúcastep¼ÆËãÖУº¾§°û×ÜÄÜÁ¿E Óë¾§°ûÌå»ýV µÄ¹ØÏµÍ¼ÈçºÎµÃµ½£¬¿´ÄÚÈÝ
ÒѾÓÐ24È˻ظ´
¶¯Á¦Ñ§ÅÜNPTʱÈçºÎµÃµ½±ÈÌå»ýÓëʱ¼äµÄ¹ØÏµÍ¼£¿
ÒѾÓÐ9È˻ظ´
ÇëÎÊÈçºÎµÃµ½Ê¸Á¿Í¼£¿
ÒѾÓÐ11È˻ظ´
¡¾ÇóÖú¡¿ÕâÑùµÄÉ¢µãͼÈçºÎµÃµ½ÄØ£¿
ÒѾÓÐ7È˻ظ´
¡¾ÇóÖú¡¿ÈçºÎµÃµ½bodeͼ£¿
ÒѾÓÐ14È˻ظ´
¡¾ÇóÖú¡¿ÇëÎʺìÍâ¹âÆ×²âµÃµ½µÄÆ×ͼÔõô±£´æ³ÉwordÐÎʽµÄ°¡£¡
ÒѾÓÐ10È˻ظ´
ÈçºÎÓÉPPTÉϵÄͼƬµÃµ½¸ß·Ö±æÂÊͼƬ
ÒѾÓÐ3È˻ظ´
ÈçºÎ´ÓXÉäÏß·ÛÄ©ÑÜÉäͼÆ×µÃµ½¾§ÌåµÄÍâÐÎ
ÒѾÓÐ11È˻ظ´
souledge
ר¼Ò¹ËÎÊ (ÖøÃûдÊÖ)
-

ר¼Ò¾Ñé: +174 - 1STÇ¿Ìû: 19
- Ó¦Öú: 303 (´óѧÉú)
- ½ð±Ò: 11306.4
- É¢½ð: 1123
- ºì»¨: 108
- Ìû×Ó: 2814
- ÔÚÏß: 916.1Сʱ
- ³æºÅ: 941486
- ×¢²á: 2010-01-12
- רҵ: ½á¹¹ÌÕ´É
- ¹ÜϽ: µÚÒ»ÐÔÔÀí
¡¾´ð°¸¡¿Ó¦Öú»ØÌû
¡ï ¡ï
¸Ðл²ÎÓ룬ӦÖúÖ¸Êý +1
ben_ladeng(½ð±Ò+2, ר¼Ò¿¼ºË): ¸Ðл 2012-02-06 00:26:37
¸Ðл²ÎÓ룬ӦÖúÖ¸Êý +1
ben_ladeng(½ð±Ò+2, ר¼Ò¿¼ºË): ¸Ðл 2012-02-06 00:26:37

2Â¥2012-02-05 22:01:06
souledge
ר¼Ò¹ËÎÊ (ÖøÃûдÊÖ)
-

ר¼Ò¾Ñé: +174 - 1STÇ¿Ìû: 19
- Ó¦Öú: 303 (´óѧÉú)
- ½ð±Ò: 11306.4
- É¢½ð: 1123
- ºì»¨: 108
- Ìû×Ó: 2814
- ÔÚÏß: 916.1Сʱ
- ³æºÅ: 941486
- ×¢²á: 2010-01-12
- רҵ: ½á¹¹ÌÕ´É
- ¹ÜϽ: µÚÒ»ÐÔÔÀí
¡¾´ð°¸¡¿Ó¦Öú»ØÌû
gloomy2004(½ð±Ò+10): ¡ï¡ï¡ïºÜÓаïÖú ÎÒÒ²ÈÏΪÖмä¹ý³Ì¿ÉÒÔ²úÉúÓÃÀ´×öÕâ¸öͼµÄÎļþ£¬¾ÍÊÇûÕÒµ½ÊÇÄĸöÎļþ£¿Ð»Ð»Äú¡£ 2012-02-05 22:10:47
gloomy2004(½ð±Ò+10): ¡ï¡ï¡ï¡ï¡ï×î¼Ñ´ð°¸ ¿´À´Ô´´úÂ룬 ÎÒµÃѧϰ¿´ÁË¡£ 2012-02-05 22:22:23
ben_ladeng(ר¼Ò¿¼ºË): 2012-02-06 00:26:47
gloomy2004(½ð±Ò+10): ¡ï¡ï¡ï¡ï¡ï×î¼Ñ´ð°¸ ¿´À´Ô´´úÂ룬 ÎÒµÃѧϰ¿´ÁË¡£ 2012-02-05 22:22:23
ben_ladeng(ר¼Ò¿¼ºË): 2012-02-06 00:26:47
²»¹ý¿´PWscfµÄ´úÂë£¬ËÆºõlamda.f90ÖÐд×Å£ºÃ»×¼¿ÉÒÔÖ±½Ó×ö³öEliashberg·½³ÌµÄÇúÏß¡« |

3Â¥2012-02-05 22:04:47
souledge
ר¼Ò¹ËÎÊ (ÖøÃûдÊÖ)
-

ר¼Ò¾Ñé: +174 - 1STÇ¿Ìû: 19
- Ó¦Öú: 303 (´óѧÉú)
- ½ð±Ò: 11306.4
- É¢½ð: 1123
- ºì»¨: 108
- Ìû×Ó: 2814
- ÔÚÏß: 916.1Сʱ
- ³æºÅ: 941486
- ×¢²á: 2010-01-12
- רҵ: ½á¹¹ÌÕ´É
- ¹ÜϽ: µÚÒ»ÐÔÔÀí
¡ï
ben_ladeng(ר¼Ò¿¼ºË): 2012-02-06 00:27:00
liliangfang(½ð±Ò+1): ¶àлÌáʾ 2012-02-06 09:05:33
ben_ladeng(ר¼Ò¿¼ºË): 2012-02-06 00:27:00
liliangfang(½ð±Ò+1): ¶àлÌáʾ 2012-02-06 09:05:33
| PHÖУ¬Õâ¸ö²»Ëã¿´Ô´´úÂ룬ֻÊÇ´úÂë×¢ÊÍÖÐÌáµ½ÁËÊäÈë²ÎÊý¶øÒÑ¡«ÕâÊÇÔÙPWscfÊÖ²áÖÐÌáµ½µÄ£¬Ã»ÓÐÈÏÕæ¿´PWscfÄÇÖ»Óм¸Ò³µÄÊÖ²áÄØ°É¡« |

4Â¥2012-02-05 23:04:46
gemucai
ľ³æ (ÕýʽдÊÖ)
- Ó¦Öú: 16 (СѧÉú)
- ½ð±Ò: 1774.6
- É¢½ð: 157
- ºì»¨: 4
- Ìû×Ó: 693
- ÔÚÏß: 201.7Сʱ
- ³æºÅ: 816478
- ×¢²á: 2009-07-27
- רҵ: Äý¾Û̬ÎïÐÔ II £ºµç×ӽṹ
5Â¥2012-02-20 10:17:06
gemucai
ľ³æ (ÕýʽдÊÖ)
- Ó¦Öú: 16 (СѧÉú)
- ½ð±Ò: 1774.6
- É¢½ð: 157
- ºì»¨: 4
- Ìû×Ó: 693
- ÔÚÏß: 201.7Сʱ
- ³æºÅ: 816478
- ×¢²á: 2009-07-27
- רҵ: Äý¾Û̬ÎïÐÔ II £ºµç×ӽṹ
6Â¥2012-02-20 10:19:31
gemucai
ľ³æ (ÕýʽдÊÖ)
- Ó¦Öú: 16 (СѧÉú)
- ½ð±Ò: 1774.6
- É¢½ð: 157
- ºì»¨: 4
- Ìû×Ó: 693
- ÔÚÏß: 201.7Сʱ
- ³æºÅ: 816478
- ×¢²á: 2009-07-27
- רҵ: Äý¾Û̬ÎïÐÔ II £ºµç×ӽṹ
7Â¥2012-02-20 10:30:23
weiyongkai
ľ³æ (Ö°Òµ×÷¼Ò)
- Ó¦Öú: 13 (СѧÉú)
- ½ð±Ò: 3192
- É¢½ð: 209
- ºì»¨: 3
- Ìû×Ó: 3186
- ÔÚÏß: 228.1Сʱ
- ³æºÅ: 1104094
- ×¢²á: 2010-09-20
- רҵ: Äý¾Û̬ÎïÐÔI:½á¹¹¡¢Á¦Ñ§ºÍ

8Â¥2013-04-02 21:53:46
gemucai
ľ³æ (ÕýʽдÊÖ)
- Ó¦Öú: 16 (СѧÉú)
- ½ð±Ò: 1774.6
- É¢½ð: 157
- ºì»¨: 4
- Ìû×Ó: 693
- ÔÚÏß: 201.7Сʱ
- ³æºÅ: 816478
- ×¢²á: 2009-07-27
- רҵ: Äý¾Û̬ÎïÐÔ II £ºµç×ӽṹ
9Â¥2013-04-03 10:20:27
weiyongkai
ľ³æ (Ö°Òµ×÷¼Ò)
- Ó¦Öú: 13 (СѧÉú)
- ½ð±Ò: 3192
- É¢½ð: 209
- ºì»¨: 3
- Ìû×Ó: 3186
- ÔÚÏß: 228.1Сʱ
- ³æºÅ: 1104094
- ×¢²á: 2010-09-20
- רҵ: Äý¾Û̬ÎïÐÔI:½á¹¹¡¢Á¦Ñ§ºÍ

10Â¥2013-06-21 14:04:01













»Ø¸´´ËÂ¥
²»¹ý¿´PWscfµÄ´úÂë£¬ËÆºõlamda.f90ÖÐд×Å£º