| 查看: 2333 | 回复: 13 | ||
[求助]
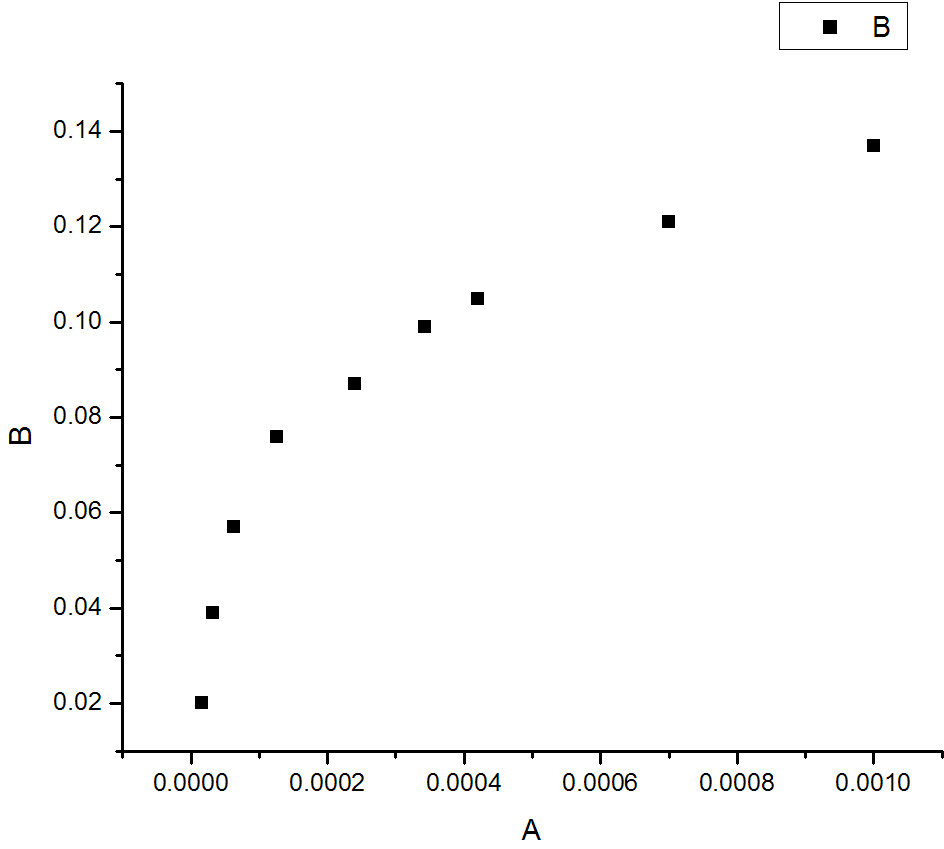
紫外的标准曲线出现拐点
|
||
|
|
||
| 回帖置顶 ( 共有1个 ) | ||
|
10楼2012-01-13 16:45:27
|
|
|
| 普通回帖 | ||
|
感谢参与,应助指数 +1
616732374(金币+2): ★有帮助 2012-01-14 20:29:54
|
||
|
2楼2012-01-13 11:35:27
|
|
|
|
3楼2012-01-13 11:43:40
|
|
|
|
4楼2012-01-13 11:51:13
|
|
|
|
5楼2012-01-13 13:04:22
|
|
|
|
6楼2012-01-13 13:51:28
|
|
|
![]() |
||
|
7楼2012-01-13 15:30:41
|
|
|
|
8楼2012-01-13 16:02:32
|
|
|
|
9楼2012-01-13 16:13:20
|
|
|














回复此楼

5