| 查看: 444 | 回复: 0 | ||
[求助]
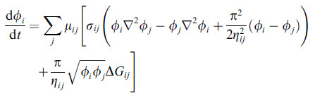
下面方程的弱形式
|
|
为了简化,i=0, j=1,且i 不等于j 求高人指点啊!不甚感激。。。可以发我邮箱wyan10s@imr.ac.cn |
» 猜你喜欢
博士自荐
已经有6人回复
博士推荐
已经有4人回复
求环氧树脂研发1名
已经有10人回复
280求调剂
已经有5人回复
什么是人一生最重要的?
已经有10人回复
面上可以超过30页吧?
已经有13人回复
为什么中国大学工科教授们水了那么多所谓的顶会顶刊,但还是做不出宇树机器人?
已经有13人回复
版面费该交吗
已经有17人回复
【博士招生】太原理工大学2026化工博士
已经有8人回复
找到一些相关的精华帖子,希望有用哦~
根据数据和方程的形式,求方程中的参数
已经有13人回复
下面这个微分方程如何根据拉普拉斯变换得到下面的特解啊?
已经有4人回复
求助形式简单的非线性方程组~Mathematica
已经有4人回复
【求助】薛定谔方程转换成矩阵形式的理论依据
已经有4人回复
【求助】关于一道微分方程题
已经有6人回复
【求助】回归方程下面的参数p代表什么意义?
已经有11人回复
【求助】大家能否推荐一下数学物理方程入门的英文教材
已经有5人回复
科研从小木虫开始,人人为我,我为人人













回复此楼
点击这里搜索更多相关资源