版块导航
正在加载中...
客户端APP下载
论文辅导
调剂小程序
登录
注册
帖子
帖子
用户
本版
应《网络安全法》要求,自2017年10月1日起,未进行实名认证将不得使用互联网跟帖服务。为保障您的帐号能够正常使用,请尽快对帐号进行手机号验证,感谢您的理解与支持!
24小时热门版块排行榜
>
论坛更新日志
(466)
>
虫友互识
(35)
>
导师招生
(12)
>
教师之家
(6)
>
博后之家
(5)
>
基金申请
(5)
>
考研
(5)
>
考博
(4)
>
论文投稿
(3)
>
论文道贺祈福
(2)
>
找工作
(2)
>
文献求助
(2)
>
公派出国
(2)
>
休闲灌水
(2)
>
访问学者
(1)
>
育儿交流
(1)
小木虫论坛-学术科研互动平台
»
计算模拟区
»
程序语言
»
其它
»
IFM算法求助
2
1/1
返回列表
查看: 776 | 回复: 1
只看楼主
@他人
存档
新回复提醒
(忽略)
收藏
在APP中查看
antion1987
银虫
(初入文坛)
应助: 0
(幼儿园)
金币: 460
散金: 50
帖子: 39
在线: 39.6小时
虫号: 822746
注册: 2009-08-05
专业: 有机化工
[
求助
]
IFM算法求助
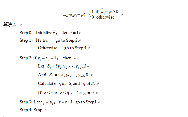
2007年,Z S Hua提出了IFM预测算法[34],该方法将多种影响备件需求发生的因素考虑进备件需求预测中,如装置设备大修安排、检修安排等(这些因素中很多是可以提前预测的),同时,考虑到需求自身数据的特点(如相关性)来预测,与只考虑需求数据自身特性的Bootstrap法相比,IFM预测算法在预测与装置的检修是否相关性的备件的需求量的时候要适用的多。其计算过程是在固定的提前期下,首先是重点确定非零需求中与检修有关的需求数值的分布规律,然后再计算在固定的提前期下备件的需求量。
大恩不言谢
如图片无法查看,可以看这个
http://blog.sina.com.cn/s/blog_5864a95d010115j1.html
回复此楼
» 猜你喜欢
售SCI一区文章,我:8 O5 51O 54,科目齐全,可+急
已经有5人回复
售SCI一区文章,我:8 O5 51O 54,科目齐全,可+急
已经有6人回复
售SCI一区文章,我:8 O5 51O 54,科目齐全,可+急
已经有8人回复
售SCI一区文章,我:8 O5 51O 54,科目齐全,可+急
已经有3人回复
售SCI一区文章,我:8 O5 51O 54,科目齐全,可+急
已经有4人回复
版面费该交吗
已经有8人回复
售SCI一区文章,我:8 O5 51O 54,科目齐全,可+急
已经有5人回复
售SCI一区文章,我:8 O5 51O 54,科目齐全,可+急
已经有3人回复
基金正文30页指的是报告正文还是整个申请书
已经有6人回复
面上可以超过30页吧?
已经有4人回复
» 本主题相关价值贴推荐,对您同样有帮助:
图像分割问题求助(已进行了一部分图像算法处理)
已经有22人回复
求助Matlab批处理for语句循环
已经有5人回复
求助:遗传算法的matlab编程求解资源优化问题
已经有7人回复
求助:资源优化问题的遗传算法matlab编程
已经有5人回复
Matlab的command window “>>”消失,无法输入命令 。
已经有6人回复
求助高手将以下C语言翻译为Matlab语言,急急急!
已经有12人回复
【PSO】粒子群算法,大家接触多少? Particle Swarm Optimization for everyone
已经有19人回复
Levenberg-Marquardt 算法的例子代码
已经有3人回复
【求助】VS2005数值计算程序调试【急求!!!!加金币】
已经有9人回复
【原创】一个简单的kNN分类算法 (k-Nearest Neighbor algorithm) 的C++实现(附源码)
已经有9人回复
【求助】有很多错误的程序,找不出来了
已经有18人回复
【求助】求助:vb编程中用牛顿迭代解三次方程为什么只得到一个根?【已完成】
已经有15人回复
C数值算法程序大全
已经有7人回复
1楼
2012-01-04 13:10:12
已阅
回复此楼
关注TA
给TA发消息
送TA红花
TA的回帖
antion1987
银虫
(初入文坛)
应助: 0
(幼儿园)
金币: 460
散金: 50
帖子: 39
在线: 39.6小时
虫号: 822746
注册: 2009-08-05
专业: 有机化工
麻烦用matlab编写,3Q3Q3Q,万岁万岁万万岁
赞
一下
回复此楼
2楼
2012-01-04 13:12:08
已阅
回复此楼
关注TA
给TA发消息
送TA红花
TA的回帖
相关版块跳转
第一性原理
量子化学
计算模拟
分子模拟
仿真模拟
程序语言
我要订阅楼主
antion1987
的主题更新
2
1/1
返回列表
如果回帖内容含有宣传信息,请如实选中。否则帐号将被全论坛禁言
普通表情
龙
兔
虎
猫
百度网盘
|
360云盘
|
千易网盘
|
华为网盘
在新窗口页面中打开自己喜欢的网盘网站,将文件上传后,然后将下载链接复制到帖子内容中就可以了。
信息提示
关闭
请填处理意见
关闭
确定