| 查看: 200 | 回复: 0 | ||
[求助]
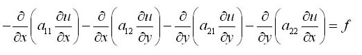
请数学好的大仙帮忙求下 下面方程的弱形式
|
|
请教该方程的弱形式,如果不方便在这里写公式,麻烦发到我邮箱:wyan10s@imr.ac.cn [ Last edited by yanwei12 on 2012-1-2 at 22:14 ] |
» 猜你喜欢
275求调剂
已经有14人回复
调剂310
已经有6人回复
283求调剂
已经有3人回复
085602 化工专硕 338分 求调剂
已经有12人回复
312,生物学求调剂
已经有3人回复
化学0703 调剂 306分 一志愿211
已经有4人回复
311(085601)求调剂
已经有3人回复
复试调剂
已经有3人回复
本科双非材料,跨考一志愿华电085801电气,283求调剂,任何专业都可以
已经有6人回复
材料与化工272求调剂
已经有9人回复
找到一些相关的精华帖子,希望有用哦~
根据数据和方程的形式,求方程中的参数
已经有13人回复
求各位前辈帮忙!matlab解复数方程,出现图中的警告,怎来修改呢?谢谢了啊
已经有5人回复
下面这个微分方程如何根据拉普拉斯变换得到下面的特解啊?
已经有4人回复
求助形式简单的非线性方程组~Mathematica
已经有4人回复
【求助】薛定谔方程转换成矩阵形式的理论依据
已经有4人回复
【求助】关于一道微分方程题
已经有6人回复
【求助】回归方程下面的参数p代表什么意义?
已经有11人回复
科研从小木虫开始,人人为我,我为人人














回复此楼
点击这里搜索更多相关资源
5