| 查看: 2433 | 回复: 23 | |||
todayandy123至尊木虫 (正式写手)
|
[交流]
如何用origin处理600nm左右的峰 已有10人参与
|
|
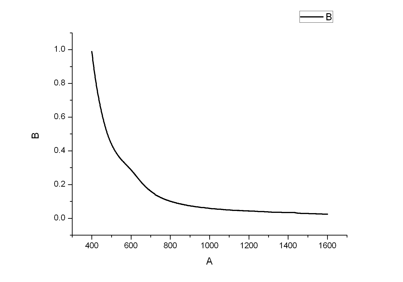
如题,如何用软件如origin处理下面的图中的峰,因为600nm 左右的峰不是很明显,想通过处理,把它变得突出些,请问该用 拟合,然后再和原始数据相减,还是直接扣除基线,然后寻峰和积分? 目前通用的合理的处理方式是什么呢? 谢谢指导! |
» 猜你喜欢
学院官方群-院士团队招生-学生自由度高-培养模式成熟已有10余名学生赴985海外深造
已经有0人回复
武汉纺织大学化工学院官方群-院士团队招生-学生自由度高-10余名学生赴985海外深造
已经有0人回复
无机化学论文润色/翻译怎么收费?
已经有213人回复
南昌航空大学蒋华麟教授课题组招收化学、环境、碳达峰碳中和及相关专业硕士信息
已经有0人回复
湖北师范大学复试调剂
已经有0人回复
武汉纺织大学_化工学院官方调剂群-院士团队招生-学生自由度高-每届发展好
已经有0人回复
河北大学材料与化工专业研究生(专硕)招收调剂生
已经有0人回复
河北大学无机化学专业招收调剂生
已经有0人回复
济南大学国家优青课题组 2026 调剂招生来啦
已经有0人回复
武汉纺织大学_化学院官方调剂群-院士团队招生-学生自由度高发展好-欢迎各位同学
已经有0人回复
» 本主题相关价值贴推荐,对您同样有帮助:
怎样用origin8对曲线进行分峰,谢谢
已经有4人回复
origin中如何把重叠图的峰的顶点用曲线连起来?
已经有12人回复
红外光谱 使用origin处理图形时,修改曲线参数时,就会出现origin 出现错误?
已经有11人回复
【交流】如何用origin求出熔融峰的面积
已经有6人回复
origin标峰后数据重叠如何分离
已经有7人回复
【请教】5 纳米左右的金颗粒 为什么SPR 峰在550 nm 左右?
已经有20人回复
【求助】怎样用Origin8.0分析XRD数据中各峰的半高宽?
已经有24人回复
求助如何用origin求xrd的半峰宽
已经有9人回复
chaoyu
铁杆木虫 (著名写手)
- 应助: 107 (高中生)
- 金币: 6435.5
- 散金: 1718
- 红花: 22
- 沙发: 13
- 帖子: 2151
- 在线: 910.9小时
- 虫号: 611842
- 注册: 2008-09-25
- 性别: MM
- 专业: 电化学分析

2楼2011-12-19 16:59:37
fansire
木虫 (著名写手)
- 应助: 115 (高中生)
- 金币: 4612.2
- 散金: 2699
- 红花: 21
- 帖子: 1991
- 在线: 758.3小时
- 虫号: 1179590
- 注册: 2010-12-29
- 性别: GG
- 专业: 电化学
3楼2011-12-19 18:40:16

4楼2011-12-19 19:44:24
yuan999
专家顾问 (知名作家)
-

专家经验: +355 - MN-EPI: 1
- 应助: 1293 (讲师)
- 贵宾: 0.247
- 金币: 21832.6
- 散金: 98
- 红花: 19
- 帖子: 6247
- 在线: 618.8小时
- 虫号: 591578
- 注册: 2008-09-02
- 性别: GG
- 专业: 半导体光电子器件
- 管辖: 微米和纳米

5楼2011-12-19 20:06:29
asule13
金虫 (正式写手)
- 应助: 25 (小学生)
- 金币: 1064.8
- 散金: 200
- 红花: 3
- 帖子: 411
- 在线: 674.6小时
- 虫号: 817096
- 注册: 2009-07-28
- 性别: GG
- 专业: 催化化学
6楼2011-12-19 20:30:55
todayandy123
至尊木虫 (正式写手)
- 应助: 0 (幼儿园)
- 金币: 11000.5
- 散金: 943
- 红花: 3
- 帖子: 919
- 在线: 169.9小时
- 虫号: 471382
- 注册: 2007-12-01
- 性别: MM
- 专业: 无机纳米化学
7楼2011-12-19 21:26:22
todayandy123
至尊木虫 (正式写手)
- 应助: 0 (幼儿园)
- 金币: 11000.5
- 散金: 943
- 红花: 3
- 帖子: 919
- 在线: 169.9小时
- 虫号: 471382
- 注册: 2007-12-01
- 性别: MM
- 专业: 无机纳米化学
8楼2011-12-19 21:33:04
todayandy123
至尊木虫 (正式写手)
- 应助: 0 (幼儿园)
- 金币: 11000.5
- 散金: 943
- 红花: 3
- 帖子: 919
- 在线: 169.9小时
- 虫号: 471382
- 注册: 2007-12-01
- 性别: MM
- 专业: 无机纳米化学
9楼2011-12-19 21:35:09
meixinyidian
铁杆木虫 (正式写手)
- 应助: 22 (小学生)
- 金币: 6849.4
- 散金: 143
- 红花: 14
- 帖子: 673
- 在线: 1250.2小时
- 虫号: 1172216
- 注册: 2010-12-18
- 性别: GG
- 专业: 凝聚态物性I:结构、力学和
10楼2011-12-19 21:51:31














回复此楼