| 查看: 611 | 回复: 5 | ||
wanghui381金虫 (小有名气)
|
[求助]
紧急求助HCHO气态分子的DOS
|
|
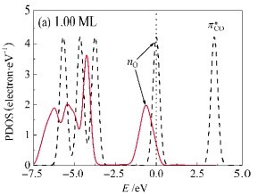
着急算一下HCHO分子的态密度,可是算出来却和文献差距很大,如图1,图2是文献中的图,其中虚线是气态HCHO分子的DOS。峰的数目,位置都不同,貌似我的结果不太合理,请教大家我的问题出在哪呢,INCAR还是作图的问题呢? 图1 图2 |
» 猜你喜欢
309求调剂
已经有4人回复
求生物学学硕调剂——364分
已经有3人回复
277工科求调剂
已经有5人回复
一志愿武理材料工程302调剂环化或化工
已经有17人回复
359求调剂
已经有5人回复
一志愿哈尔滨工业大学085600英一数二337分求调剂
已经有11人回复
0703总分331求调剂
已经有8人回复
考研生物学考A区211,初试322,科目生化和生物综合,求调剂
已经有3人回复
一志愿北京化工085600 310分求调剂
已经有9人回复
一志愿0817化学工程与技术,求调剂
已经有28人回复
» 本主题相关商家推荐: (我也要在这里推广)
» 本主题相关价值贴推荐,对您同样有帮助:
紧急求助!如何比较材料的热稳定性
已经有6人回复
【求助】乳液合成(毕业设计),紧急求助!!!
已经有41人回复
【求助/交流】紧急求助~~ 关于简并引物设计 codehop 和genefisher 在线
已经有12人回复
【求助】紧急求助
已经有48人回复
【求助/交流】紧急求助DNA电泳问题
已经有19人回复
【资源】【软件】GaussSumexe-2.1.0 软件--分子轨道DOS
已经有10人回复
【求助/交流】紧急求助关于单细胞凝胶电泳实验
已经有11人回复
stractor
金虫 (著名写手)
- 1ST强帖: 6
- 应助: 91 (初中生)
- 金币: 1487.6
- 散金: 666
- 红花: 30
- 沙发: 1
- 帖子: 2224
- 在线: 426.8小时
- 虫号: 394087
- 注册: 2007-06-06
- 专业: 半导体材料
2楼2011-12-07 18:11:10

3楼2011-12-07 18:23:24
wanghui381
金虫 (小有名气)
- 应助: 0 (幼儿园)
- 金币: 925.7
- 散金: 47
- 红花: 1
- 帖子: 77
- 在线: 177.5小时
- 虫号: 739902
- 注册: 2009-04-04
- 性别: MM
- 专业: 理论和计算化学
4楼2011-12-07 18:51:24
wanghui381
金虫 (小有名气)
- 应助: 0 (幼儿园)
- 金币: 925.7
- 散金: 47
- 红花: 1
- 帖子: 77
- 在线: 177.5小时
- 虫号: 739902
- 注册: 2009-04-04
- 性别: MM
- 专业: 理论和计算化学
5楼2011-12-07 18:59:32

6楼2011-12-07 22:21:17














回复此楼