| ²é¿´: 508 | »Ø¸´: 4 | ||
MANOWAR½ð³æ (ÕýʽдÊÖ)
|
[ÇóÖú]
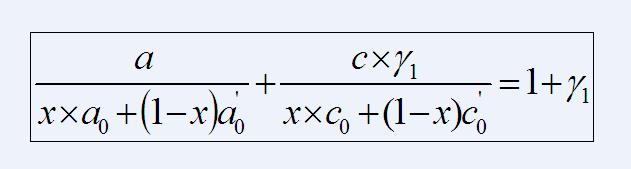
Çë½ÌÒ»¸ö·Ç³£¼òµ¥µÄÒ»Ôª·½³Ì
|
|
|
|
||
shengjielaiÌú³æ (³õÈëÎÄ̳)
|
||
|
2Â¥2011-12-06 15:51:15
|
|
|
soliton923Ìú¸Ëľ³æ (Ö°Òµ×÷¼Ò)
Êýѧ´å´å³¤
|
||
![]() |
||
|
3Â¥2011-12-06 20:21:43
|
|
|
MANOWAR½ð³æ (ÕýʽдÊÖ)
|
soliton923: ºÇºÇ£¬²»ºÃÒâ˼¹þ£¬Ã»Óп´µ½£¬Õâ¾ÍÊÇÓûúÆ÷ËãµÄ»°ºÜÈÝÒ׵ģ¬ 2011-12-06 23:15:49
|
|
|
4Â¥2011-12-06 21:12:04
|
|
|
navoloľ³æ (ÕýʽдÊÖ)
|
||
|
5Â¥2011-12-06 22:07:45
|
|














»Ø¸´´ËÂ¥
