| 查看: 2211 | 回复: 14 | ||
yuquanyao荣誉版主 (知名作家)
小背包
|
[求助]
为什么我的CV数据用autolab作图与origin作图的结果不一样呀?
|
|
|
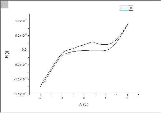
第一次做实验,用autolab自身带的软件分析,图片太诡异,直接就像一个大恐龙。 而把数据导入origin里面,做出来的图就还好了,为什么两个差距这么大呢? 还有一点,用autolab看,里面的电流没有负值,而origin里面却有,这是怎么回事啊? 附图 origin作图 autolab作图 [ Last edited by yuquanyao on 2011-11-30 at 15:21 ] |
» 猜你喜欢
招贤纳博(已结束)
已经有29人回复
表征测试机构后台私聊我
已经有0人回复
分析化学论文润色/翻译怎么收费?
已经有115人回复
Coordination Chemistry Reviews
已经有1人回复
请问现在还有电池材料方向的博导招人吗
已经有4人回复
» 本主题相关价值贴推荐,对您同样有帮助:
origin作图的问题,求助~
已经有5人回复
请教origin三维作图问题
已经有4人回复
请问TXT交流阻抗数据导出之后怎么在origin作图?
已经有6人回复
只有一列的数据,怎么用origin作图?
已经有4人回复
【求助】zsimpwin 软件拟合图谱的数据如何输出到origin作图?
已经有25人回复
【求助】红外谱图及origin作图求助
已经有5人回复
【求助】XRD数据如何在origin里作图?
已经有17人回复
Origin数据处理和作图问题
已经有6人回复
【求助】jade中的图形,用origin作图怎么不一样呀?
已经有18人回复
origin作图问题
已经有9人回复
【求助】origin7.5作图的问题
已经有5人回复
根据曲线用ORIGIN作图的方法和结果
已经有10人回复

11楼2011-12-02 20:19:47
yuquanyao
荣誉版主 (知名作家)
小背包
- ECEPI: 2
- 应助: 263 (大学生)
- 贵宾: 1.14
- 金币: 12736.4
- 散金: 6301
- 红花: 141
- 沙发: 21
- 帖子: 6631
- 在线: 1297.6小时
- 虫号: 908918
- 注册: 2009-11-21
- 性别: GG
- 专业: 电化学
- 管辖: 复合材料

2楼2011-11-30 15:44:07
yuquanyao
荣誉版主 (知名作家)
小背包
- ECEPI: 2
- 应助: 263 (大学生)
- 贵宾: 1.14
- 金币: 12736.4
- 散金: 6301
- 红花: 141
- 沙发: 21
- 帖子: 6631
- 在线: 1297.6小时
- 虫号: 908918
- 注册: 2009-11-21
- 性别: GG
- 专业: 电化学
- 管辖: 复合材料

3楼2011-11-30 20:23:57
战国时代
铁杆木虫 (著名写手)
- ECEPI: 23
- 应助: 105 (高中生)
- 贵宾: 0.981
- 金币: 11331.8
- 散金: 1220
- 红花: 50
- 沙发: 1
- 帖子: 1718
- 在线: 746.6小时
- 虫号: 1119272
- 注册: 2010-10-11
- 专业: 制造系统与自动化
4楼2011-11-30 23:30:02
5楼2011-12-02 15:45:52
zhyq8767
荣誉版主 (文坛精英)
- ECEPI: 1
- 应助: 130 (高中生)
- 贵宾: 2.617
- 金币: 16945.9
- 散金: 31525
- 红花: 163
- 沙发: 3565
- 帖子: 27337
- 在线: 2812.9小时
- 虫号: 1346539
- 注册: 2011-07-15
- 专业: 新闻学与传播学其他学科
- 管辖: 金属

6楼2011-12-02 15:50:31
mlanqiang
木虫之王 (文学泰斗)
蓝博士
- 应助: 3409 (副教授)
- 金币: 55278.8
- 散金: 5498
- 红花: 62
- 帖子: 73916
- 在线: 730.8小时
- 虫号: 302202
- 注册: 2006-12-02
- 性别: GG
- 专业: 胶体与界面化学

7楼2011-12-02 16:01:53
8楼2011-12-02 16:03:33
yuquanyao
荣誉版主 (知名作家)
小背包
- ECEPI: 2
- 应助: 263 (大学生)
- 贵宾: 1.14
- 金币: 12736.4
- 散金: 6301
- 红花: 141
- 沙发: 21
- 帖子: 6631
- 在线: 1297.6小时
- 虫号: 908918
- 注册: 2009-11-21
- 性别: GG
- 专业: 电化学
- 管辖: 复合材料

9楼2011-12-02 19:25:24
yuquanyao
荣誉版主 (知名作家)
小背包
- ECEPI: 2
- 应助: 263 (大学生)
- 贵宾: 1.14
- 金币: 12736.4
- 散金: 6301
- 红花: 141
- 沙发: 21
- 帖子: 6631
- 在线: 1297.6小时
- 虫号: 908918
- 注册: 2009-11-21
- 性别: GG
- 专业: 电化学
- 管辖: 复合材料

10楼2011-12-02 19:28:52













回复此楼
