| 查看: 640 | 回复: 1 | |
[求助]
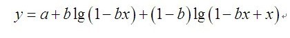
Origin非线性拟合,关于公式如何表达的问题,请大侠帮忙
|
|
|
|
|
51555荣誉版主 (著名写手)
NJ Scholar
|
|
|
2楼2011-11-30 03:09:28
|
|













回复此楼
50