| 查看: 335 | 回复: 2 | |
[求助]
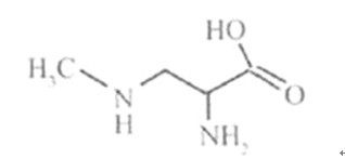
有做氨基酸分析的吗
|
|
![]() |
|
|
|
|
hmg2009木虫 (小有名气)
|
|
|
2楼2011-11-19 14:33:24
|
|
loveliping木虫 (著名写手)
一秒
|
|
![]() |
|
|
3楼2011-11-19 16:45:39
|
|













回复此楼