| 查看: 2414 | 回复: 14 | |
416726641金虫 (正式写手)
|
[求助]
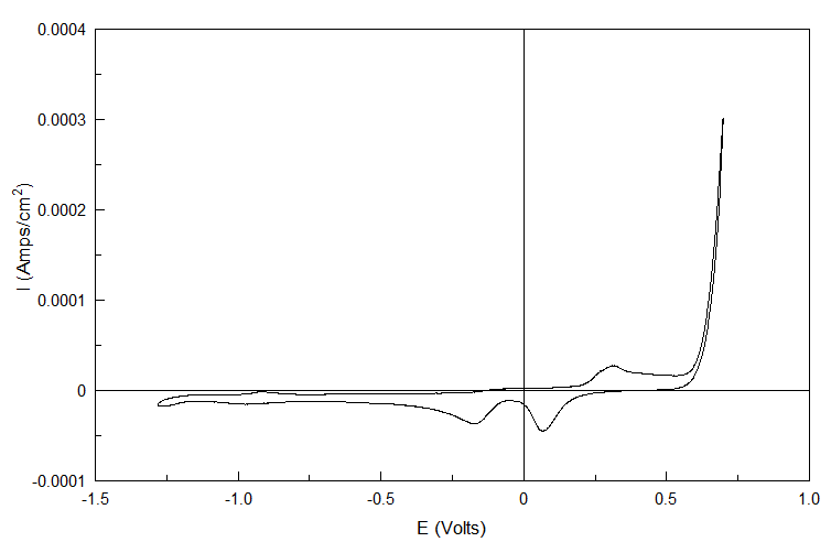
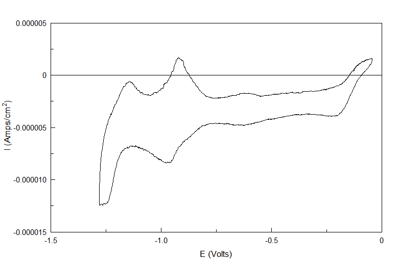
循环伏安图分析
|
![]() |
|
|
|
|
416726641金虫 (正式写手)
|
|
![]() |
|
|
2楼2011-11-01 08:54:27
|
|
416726641金虫 (正式写手)
|
|
![]() |
|
|
3楼2011-11-01 20:16:10
|
|
416726641金虫 (正式写手)
|
|
![]() |
|
|
4楼2011-11-15 20:11:36
|
|
|
5楼2011-11-16 09:02:03
|
|
416726641金虫 (正式写手)
|
|
![]() |
|
|
6楼2011-12-01 15:52:37
|
|
TCH87金虫 (小有名气)
|
|
|
7楼2011-12-01 17:50:49
|
|
TCH87金虫 (小有名气)
|
|
|
8楼2011-12-01 17:54:23
|
|
TCH87金虫 (小有名气)
|
|
|
9楼2011-12-01 17:56:31
|
|
|
10楼2011-12-01 19:17:01
|
|














回复此楼