| 查看: 1373 | 回复: 6 | ||
[求助]
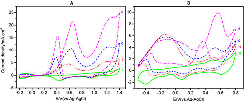
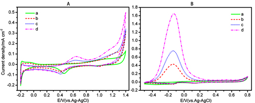
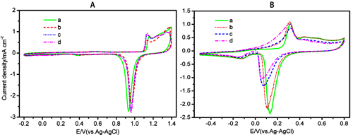
电化学催化怎么分析一下这个图
|
||
|
|
||
yanflower7133木虫 (职业作家)
|
||
![]() |
||
|
2楼2011-10-31 16:54:57
|
|
|
|
3楼2011-10-31 17:04:16
|
|
|
|
4楼2011-10-31 20:42:41
|
|
|
【答案】应助回帖
★ ★ ★ ★ ★
jiaozhb(金币+10): 是铂钯合金 2011-11-09 09:55:24 chgyhit(金币+5): 欢迎 2011-12-08 14:50:54
|
||
|
5楼2011-11-08 20:59:16
|
|
|
jiangying163168金虫 (正式写手)
|
||
|
6楼2011-12-04 09:42:48
|
|
|
jiangying163168金虫 (正式写手)
|
||
|
7楼2011-12-04 09:44:50
|
|














回复此楼
