| ²é¿´: 772 | »Ø¸´: 3 | |
younk½ð³æ (СÓÐÃûÆø)
|
[ÇóÖú]
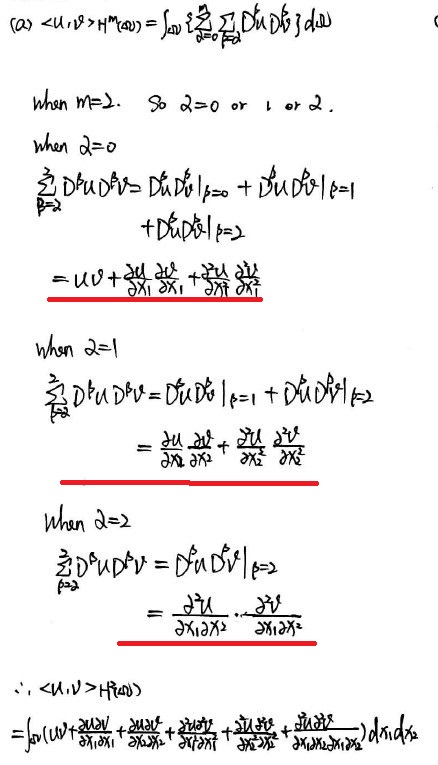
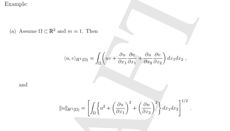
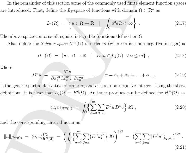
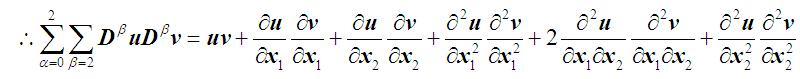
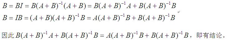
Ë®Áзò¿Õ¼ä¾ÍÄÚ»ýʱƫ΢·ÖËã×ӽDZêȡֵÎÊÌ⣨Çë´ó¼Ò°ï棩
|
|
|
|
xuyx_78½ð³æ (СÓÐÃûÆø)
|
|
|
2Â¥2011-10-23 08:36:10
|
|
xuyx_78½ð³æ (СÓÐÃûÆø)
|
¡¾´ð°¸¡¿Ó¦Öú»ØÌû
¡ï ¡ï
younk(½ð±Ò+5): лл£¬ÔÀ´ÊÇÕâô»ØÊ¡£¶øÇһشðÕâôѸËÙ£¬Ð»Ð»À²£¡ 2011-10-23 10:00:53 soliton923(½ð±Ò+2): лл²ÎÓëÌÖÂÛ 2011-10-23 11:35:54 |
|
3Â¥2011-10-23 08:37:20
|
|
xuyx_78½ð³æ (СÓÐÃûÆø)
|
|
|
4Â¥2011-10-23 08:38:58
|
|














»Ø¸´´ËÂ¥
100