| 查看: 1718 | 回复: 5 | |||
damopiaoxu金虫 (小有名气)
|
[交流]
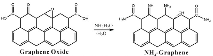
氧化石墨烯表面的含氧基团的酰胺化 已有2人参与
|
石墨烯 |
» 猜你喜欢
温州大学王娟课题组2026年招生
已经有10人回复
温州大学2026年招生(化学、材料)
已经有10人回复
无机化学论文润色/翻译怎么收费?
已经有247人回复
招生负责_院士团队_学生高自由度成长_擅长学生培养
已经有5人回复
温州大学招收2026年入学博士研究生(化学、材料、环境)
已经有10人回复
非晶合金
已经有2人回复
院士团队-每届学生都优秀-高自由度-团队氛围好
已经有0人回复
求调剂
已经有2人回复
化工学院(学院正式调剂群+联系方式)
已经有0人回复
化工学院(学院官方群)-院士团队招生-学生自由度高-培养模式成熟高效
已经有0人回复
黑龙江大学分析化学招调剂
已经有0人回复
» 本主题相关商家推荐: (我也要在这里推广)
» 本主题相关价值贴推荐,对您同样有帮助:
求氧化石墨烯(GO)的禁带宽,谢谢
已经有3人回复
石墨烯,石墨 氧化石墨烯 氧化石墨 定义及区别 谢谢各路大神!!!
已经有11人回复
求助氧化石墨氧化石墨烯石墨烯的问题
已经有13人回复
求助,增加氧化石墨烯的氧化程度
已经有18人回复
氧化石墨烯的问题
已经有39人回复
判断氧化石墨烯的氧化程度
已经有46人回复
分享: 超强吸附材料--氧化石墨烯的文章 (Journal of hazardous materials)
已经有225人回复
【请教】制备氧化石墨烯的问题
已经有36人回复
氧化石墨烯上含氧基团比例的控制
已经有3人回复
关于氧化石墨烯的改性及拉曼表征问题
已经有11人回复
【分享】新方法高效还原氧化石墨烯薄膜
已经有18人回复
【求助】石墨烯表面都能有什么基团呢?
已经有5人回复
【求助】关于石墨烯和氧化石墨烯
已经有16人回复
lchpy
木虫 (职业作家)
- MN-EPI: 6
- 应助: 64 (初中生)
- 贵宾: 1.721
- 金币: 2686.1
- 散金: 11721
- 红花: 46
- 沙发: 20
- 帖子: 3154
- 在线: 643.2小时
- 虫号: 1070614
- 注册: 2010-08-06
- 性别: GG
- 专业: 有机分子功能材料化学
2楼2011-10-22 08:27:00
damopiaoxu
金虫 (小有名气)
- 应助: 0 (幼儿园)
- 金币: 1727.2
- 帖子: 219
- 在线: 150.5小时
- 虫号: 1133656
- 注册: 2010-10-28
- 性别: GG
- 专业: 光学
3楼2011-10-22 09:00:49
damopiaoxu
金虫 (小有名气)
- 应助: 0 (幼儿园)
- 金币: 1727.2
- 帖子: 219
- 在线: 150.5小时
- 虫号: 1133656
- 注册: 2010-10-28
- 性别: GG
- 专业: 光学
4楼2011-10-22 09:03:15
damopiaoxu
金虫 (小有名气)
- 应助: 0 (幼儿园)
- 金币: 1727.2
- 帖子: 219
- 在线: 150.5小时
- 虫号: 1133656
- 注册: 2010-10-28
- 性别: GG
- 专业: 光学
5楼2011-10-23 12:10:44
lijihao1986
新虫 (初入文坛)
- 应助: 1 (幼儿园)
- 金币: 51.4
- 散金: 5
- 红花: 1
- 帖子: 33
- 在线: 13小时
- 虫号: 1073037
- 注册: 2010-08-11
- 专业: 碳素材料与超硬材料
6楼2012-08-27 18:04:32













回复此楼
