| 查看: 739 | 回复: 5 | ||
[求助]
求助:编写程序
|
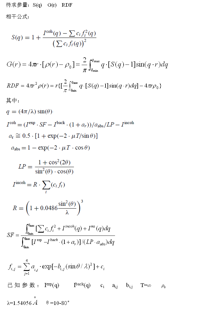
| 我想用XRD数据来计算分析非晶的原子径向结构,现在情况是,使用的rad程序几个参数找不到,哪位大侠能帮忙:或是懂rad程序的,我继续用rad;或是有别的软件可供使用;或是能编程的,帮忙编写新程序(有公式但我不懂编程)。 |
» 本帖已获得的红花(最新10朵)
» 猜你喜欢
265求调剂
已经有6人回复
材料求调剂
已经有13人回复
一志愿郑州大学材料与化工085600,求调剂
已经有26人回复
070300化学279求调剂
已经有18人回复
材料调剂
已经有8人回复
化工求调剂!
已经有6人回复
290求调剂085701
已经有11人回复
085600材料与化工专硕329 求调剂
已经有6人回复
295求调剂
已经有15人回复
一志愿河北工业大学材料工程,初试344求专硕调剂
已经有6人回复
» 本主题相关价值贴推荐,对您同样有帮助:
求助计算机高人,编写个Fortran程序
已经有13人回复
求助Levenberg-Marquardt的VB程序
已经有6人回复
【求助】matlab 中,几个m文件调用
已经有14人回复
【求助】DPD程序编写边界如何处理?
已经有12人回复
【求助】用C#编写的Windows应用程序中,用到了数组,不能成功调试
已经有4人回复
【求助】VC++.NET编程,MFC基于对话框应用程序编写
已经有18人回复
【求助】有用Monte Carlo 编过有关Fluid中粒子运动的程序
已经有6人回复
【求助】算法书籍
已经有11人回复
imyourkobe
铁杆木虫 (著名写手)
- 应助: 26 (小学生)
- 贵宾: 0.126
- 金币: 7477
- 散金: 6
- 红花: 9
- 沙发: 3
- 帖子: 1688
- 在线: 459.6小时
- 虫号: 183723
- 注册: 2006-02-13
- 专业: 计算机软件
2楼2011-10-17 11:10:12
3楼2011-10-17 11:18:08
4楼2011-10-17 15:35:10
5楼2011-10-18 08:39:54
6楼2011-10-19 09:17:52














回复此楼
wangy1