| 查看: 1102 | 回复: 3 | |||
[交流]
布洛芬的合成 已有3人参与
|
|
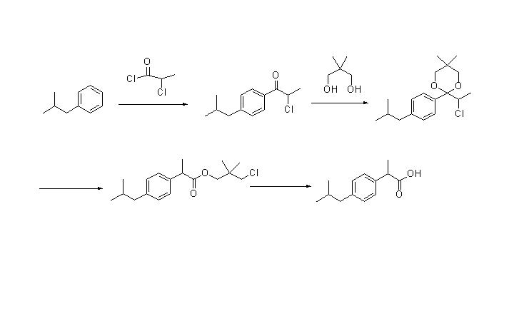
最近在做布洛芬的合成,最先选的darzens反应的路线,做不通,又选了转位法路线(如下图),第一步很好做,产物结构也经过了核磁确认,但是第二部缩酮反应怎么就是做不是去呢,我用的条件是TsOH催化甲苯带水一点都不反应,浓硫酸催化也不行,又试着做成二甲缩醛(原甲酸三甲酯除水,硫酸催化,甲醇回流),也是不反应,郁闷啊,这么经典的反应怎么就是做不成呢,有高手做过吗,指点一下吧,谢谢! |
» 猜你喜欢
中国药科大学2026入学博士,药物合成和设计经验,放射化学及放射医学研究
已经有25人回复
2026年山东大学海洋学院生物与医药博士招生-李霞课题组
已经有0人回复
药理学论文润色/翻译怎么收费?
已经有158人回复
博士研究生招生
已经有0人回复
使用MolAICal进行多肽虚拟筛选教程-同样适用于蛋白质和核酸的虚拟筛选
已经有1人回复
使用MolAICal计算药物化学过滤器MCFs及MCE-18描述符
已经有0人回复
使用MolAICal发现蛋白受体潜在的活性口袋及位点
已经有0人回复
华理药学学硕求调剂,总分324
已经有0人回复
药理学、临床药学方向 调剂
已经有1人回复
澳门理工大学人工智能药物发现中心招收2026级博士研究生(申请-考核制)
已经有10人回复
» 本主题相关价值贴推荐,对您同样有帮助:
【求助】药典未列出的杂质无法提供对照品,怎么办?
已经有8人回复
【求助】硝酸益康唑和硝酸咪康唑有什么不同?
已经有8人回复
【求助】求助合成方法
已经有9人回复
【求助】布洛芬的工艺流程
已经有4人回复
【求助】布洛芬原料稳定性如何
已经有17人回复
【求助】药店买的布洛芬为什么不溶于乙醇呢
已经有29人回复
bronzezt
至尊木虫 (职业作家)
- DRDEPI: 2
- 应助: 493 (硕士)
- 金币: 14555.2
- 红花: 13
- 帖子: 4818
- 在线: 695.1小时
- 虫号: 22501
- 注册: 2003-09-02
- 性别: GG
- 专业: 合成药物化学
2楼2011-10-10 08:19:24
木辛同
金虫 (小有名气)
- 应助: 3 (幼儿园)
- 金币: 1025.6
- 红花: 1
- 帖子: 109
- 在线: 35.2小时
- 虫号: 786001
- 注册: 2009-06-03
- 性别: GG
- 专业: 化学反应工程

3楼2015-04-30 15:51:19
wangtianci
银虫 (初入文坛)
- 应助: 0 (幼儿园)
- 金币: 448
- 帖子: 44
- 在线: 39.5小时
- 虫号: 2259051
- 注册: 2013-01-24
- 性别: GG
- 专业: 金属有机化学

4楼2015-04-30 22:03:22














回复此楼
10