版块导航
正在加载中...
客户端APP下载
论文辅导
申博辅导
登录
注册
帖子
帖子
用户
本版
应《网络安全法》要求,自2017年10月1日起,未进行实名认证将不得使用互联网跟帖服务。为保障您的帐号能够正常使用,请尽快对帐号进行手机号验证,感谢您的理解与支持!
24小时热门版块排行榜
>
论坛更新日志
(563)
>
虫友互识
(51)
>
导师招生
(25)
>
硕博家园
(13)
>
论文投稿
(10)
>
考研
(9)
>
基金申请
(8)
>
教师之家
(8)
>
考博
(7)
>
休闲灌水
(7)
>
博后之家
(6)
>
论文道贺祈福
(6)
>
文献求助
(6)
>
公派出国
(6)
>
找工作
(4)
>
招聘信息布告栏
(2)
小木虫论坛-学术科研互动平台
»
化学化工区
»
高分子
»
高分子化学
»
EDC 和 NHS活化羧基过程中加入了 辛基葡萄糖苷 意义是什么
10
1/1
返回列表
查看: 2026 | 回复: 9
只看楼主
@他人
存档
新回复提醒
(忽略)
收藏
在APP中查看
03155617021
至尊木虫
(职业作家)
应助: 2
(幼儿园)
金币: 14640.5
帖子: 3186
在线: 175.6小时
虫号: 409919
[交流]
EDC 和 NHS活化羧基过程中加入了 辛基葡萄糖苷 意义是什么
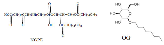
一篇文献中说,将NGPE(上的羧基) 通过EDC和N-羟基硫代琥珀酰亚胺活化; pH 4.5的MES作为反应溶剂;其中加入了辛基葡萄糖苷(OG);最后将羧基活化的NGPE 和 BSA上的氨基在0.1 M的pH 7.6的HEPES反应。
为什么活化中需要加入辛基葡萄糖苷(OG)?
欢迎大家积极给出意见。
回复此楼
» 收录本帖的淘帖专辑推荐
羧基活化EDC|DCC,NHS
» 猜你喜欢
博士延得我,科研能力直往上蹿
已经有7人回复
退学或坚持读
已经有27人回复
面上基金申报没有其他的参与者成吗
已经有5人回复
有70后还继续奋斗在职场上的吗?
已经有5人回复
遇见不省心的家人很难过
已经有22人回复
多组分精馏求助
已经有6人回复
高级回复
» 本主题相关价值贴推荐,对您同样有帮助:
EDC活化羧基的反应
已经有8人回复
跟大家讨论一下EDC-NHS活化带羧基颗粒的用量问题
已经有38人回复
关于活化的羧基结合蛋白质,不解
已经有6人回复
EDC-NHS活化羧基进行酰胺反应
已经有15人回复
DCC/NHS活化羧基后与氨基化合物反应
已经有6人回复
高表达β葡萄糖苷酶菌株
已经有3人回复
EDC/NHS活化金电极-硫醇后抗体固定不上
已经有24人回复
羧基活化中EDC和NHS的问题。
已经有8人回复
关于EDC/NHS ,羟基和羧基的问题
已经有11人回复
关于N,N'-二辛基-3,4,9,10-苝四羧酸二亚胺的合成
已经有3人回复
很急,EDC/NHS活化含羧基的高分子链时,出现絮状物
已经有24人回复
用EDC和NHS活化叶酸上的羧基加入顺序是怎样的呢?
已经有3人回复
用EDC NHS活化羧基请教?
已经有6人回复
EDC NHS活化羧基问题
已经有16人回复
【请教】NHS/EDC活化羧基的最有条件
已经有15人回复
【求助】【求助】关于EDC和NHS偶联羧基与氨基的困惑
已经有14人回复
【求助】2-(噻吩-2-基)-1-辛基-7,8-二氮菲并[5,6-d]咪唑合成
已经有3人回复
【讨论】EDC/NHS活化羧基,与氨基反应生成酰胺反应条件
已经有21人回复
» 抢金币啦!回帖就可以得到:
查看全部散金贴
香港岭南大学郭瑛课题组博士招生 (2026年秋季入学)
+
1
/183
供应爱德华RV 3、RV 12,阿特拉斯及莱宝真空品牌油泵及分子泵等真空产品15216851283
+
1
/95
Postdoctoral Research Fellow Position in Causal Inference Weill CorneIl Medicine
+
1
/92
中国海洋大学与中国水产科学研究院 联合培养 专硕 食品加工与安全
+
1
/75
坐标浙江宁波,诚征女友
+
1
/69
娃娃们今儿考试喽。。。。
+
1
/61
中国科学院深圳先进技术研究院——招聘客座研究生
+
3
/43
南方科技大学物理系夏秀杨课题组招收博士生/博士后 计算与理论软物质/生物物理方向
+
1
/40
香港科技大学计算物理及流体力学课题组招收全奖博士后及博士生(2026年9月入学)
+
1
/38
操作求助
+
1
/33
武汉工程大学绿碳技术与智能材料课题组诚招2026年博士研究生
+
2
/16
新加坡 南洋理工大学- 智能光子/ 传感 PHD 全奖一名 2026 - 8 月入学
+
1
/15
中科院深圳先进院-免疫治疗方向-招收1名博士生(26年9月入学)
+
1
/12
澳科大招收2026年秋季入学生物材料方向全奖博士研究生(3月5日截止)
+
1
/7
上海理工大学顾敏院士、张轶楠教授团队 招聘 2026级 光学工程 博士生
+
1
/6
《中文期刊点评》这个模块,怎么不能点评期刊了呢自动跳转到主页了
+
1
/5
推荐一款可以AI辅助写作的Latex编辑器SmartLatexEditor,超级好用,AI润色,全免费
+
1
/5
【博士招生】哈工大(深圳)智能学部机器人与先进制造学院 陆文杰老师课题组
+
1
/4
海南大学化学院—功能分子器件团队2026博士/研究助理招生+博士后招聘
+
1
/3
武汉工程大学董志兵教授课题组招收博士/硕士研究生(长期有效)
+
1
/1
1楼
2011-10-09 11:57:18
已阅
回复此楼
关注TA
给TA发消息
送TA红花
TA的回帖
miaokun
木虫
(正式写手)
应助: 2
(幼儿园)
金币: 1988.9
帖子: 407
在线: 158.3小时
虫号: 710682
★
03155617021(金币
+1
):谢谢参与
学习中
回复此楼
2楼
2011-10-10 09:53:27
已阅
回复此楼
关注TA
给TA发消息
送TA红花
TA的回帖
anjin0716
银虫
(著名写手)
应助: 47
(小学生)
金币: 39.3
帖子: 2249
在线: 180小时
虫号: 1396369
★
03155617021(金币
+1
):谢谢参与
03155617021(金币+1): 2011-10-12 08:40:24
呵呵多查阅文献啊呵呵
赞
一下
(1人)
回复此楼
4楼
2011-10-11 07:38:11
已阅
回复此楼
关注TA
给TA发消息
送TA红花
TA的回帖
donglin601
木虫
(著名写手)
应助: 5
(幼儿园)
金币: 3848.3
帖子: 1018
在线: 258.3小时
虫号: 741016
★ ★
03155617021(金币
+1
):谢谢参与
03155617021(金币+1): 2011-10-12 08:40:32
wgs8136(金币+1): 欢迎交流 ~ 2011-11-03 13:17:09
NGPE溶解性怎样,难道是乳化剂?
[
Last edited by donglin601 on 2011-10-11 at 19:41
]
赞
一下
(2人)
回复此楼
6楼
2011-10-11 19:39:38
已阅
回复此楼
关注TA
给TA发消息
送TA红花
TA的回帖
03155617021
至尊木虫
(职业作家)
应助: 2
(幼儿园)
金币: 14640.5
帖子: 3186
在线: 175.6小时
虫号: 409919
★
wgs8136(金币+1): 欢迎交流~ 2011-11-03 13:17:21
donglin601 兄说的对,应该是增加NGPC溶解度的
赞
一下
(1人)
回复此楼
7楼
2011-10-12 08:43:56
已阅
回复此楼
关注TA
给TA发消息
送TA红花
TA的回帖
gahb
新虫
(著名写手)
应助: 2
(幼儿园)
金币: 764.1
帖子: 2645
在线: 679.2小时
虫号: 1407473
★
03155617021(金币
+1
):谢谢参与
03155617021(金币+1): 2011-11-05 18:09:49
催化剂
回复此楼
9楼
2011-11-03 12:58:02
已阅
回复此楼
关注TA
给TA发消息
送TA红花
TA的回帖
royhahaha
木虫
(小有名气)
应助: 6
(幼儿园)
金币: 2241.4
帖子: 147
在线: 158.7小时
虫号: 1492419
★
03155617021(金币
+1
):谢谢参与
控制好EDC/NHS浓度 应该能成
赞
一下
(1人)
回复此楼
10楼
2012-02-08 14:35:59
已阅
回复此楼
关注TA
给TA发消息
送TA红花
TA的回帖
简单回复
xueyem
3楼
2011-10-10 15:16
回复
03155617021(金币
+1
):谢谢参与
03155617021(金币+1): 2011-10-12 08:40:21
wangfanglsh
5楼
2011-10-11 08:13
回复
03155617021(金币
+1
):谢谢参与
03155617021(金币+1): 2011-10-12 08:40:29
mlanqiang
8楼
2011-10-12 09:15
回复
03155617021(金币
+1
):谢谢参与
03155617021(金币+1): 2011-10-12 16:13:18
相关版块跳转
有机交流
有机资源
高分子
无机/物化
分析
催化
工艺技术
化工设备
石油化工
精细化工
电化学
环境
SciFinder/Reaxys
我要订阅楼主
03155617021
的主题更新
10
1/1
返回列表
如果回帖内容含有宣传信息,请如实选中。否则帐号将被全论坛禁言
普通表情
龙
兔
虎
猫
高级回复
(可上传附件)
百度网盘
|
360云盘
|
千易网盘
|
华为网盘
在新窗口页面中打开自己喜欢的网盘网站,将文件上传后,然后将下载链接复制到帖子内容中就可以了。
信息提示
关闭
请填处理意见
关闭
确定