| 查看: 434 | 回复: 2 | ||
[求助]
请教大家一个微积分的简单问题
|
|
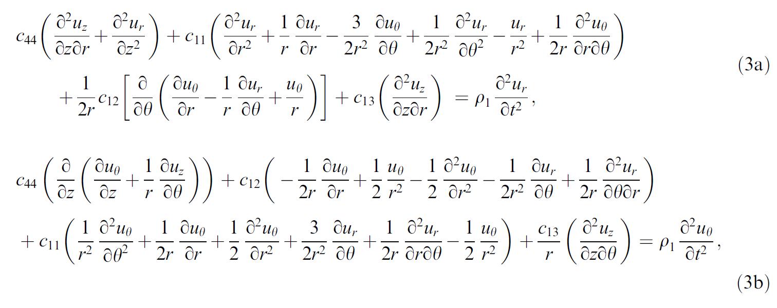
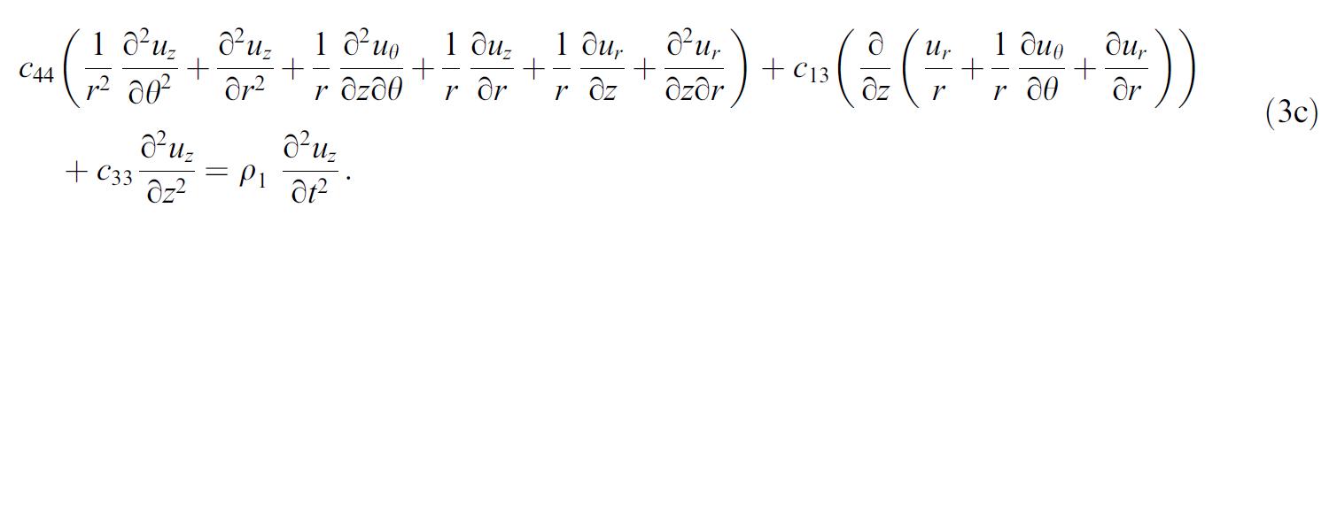
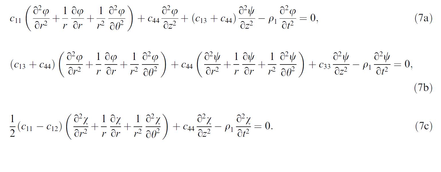
将公式6(1)-(3)代入3(1)-(3)后得到7(1)-(3)。 代入后我只能得到7(2),另外两个公式中的X(希腊字母)无法与其它两个分离,怎么办? 分离后应该得到7(1)和7(3)。 请各位帮忙指导一下,谢谢。 1 2 3 4 [ Last edited by beppe on 2011-10-9 at 10:34 ] |
» 猜你喜欢
11408软件工程求调剂
已经有3人回复
一志愿211 初试270分 求调剂
已经有8人回复
300求调剂,材料科学英一数二
已经有6人回复
学硕274求调剂
已经有9人回复
本科双非材料,跨考一志愿华电085801电气,283求调剂,任何专业都可以
已经有7人回复
各位老师好,我的一志愿为北京科技大学085601材料专硕
已经有3人回复
317分 一志愿南理工材料工程 本科湖工大 求调剂
已经有7人回复
081200-11408-276学硕求调剂
已经有5人回复
316求调剂
已经有7人回复
322求调剂
已经有7人回复
» 本主题相关价值贴推荐,对您同样有帮助:
请教一个简单的问题,吡嗪羧酸和氨基吡啶
已经有6人回复
请教大家一个去德国的问题
已经有9人回复
问一个比较弱的问题,请教大家
已经有9人回复
求助啊,微积分问题
已经有4人回复
请教大家一个核磁图的问题,
已经有16人回复
请教大家一个关于取平均的问题
已经有13人回复
想大家请教一个问题。。
已经有25人回复
【求助】请教大家一个问题,关于反铁磁耦合的
已经有14人回复
【求助/交流】请教一个简单问题:新买的载玻片需要清洗么?盖玻片呢?谢谢!
已经有18人回复
【求助】再请教大家一个问题
已经有16人回复
请教大家一个问题
已经有7人回复
xuyx_78
金虫 (小有名气)
- 应助: 39 (小学生)
- 金币: 1714.5
- 红花: 1
- 帖子: 176
- 在线: 80.3小时
- 虫号: 1385856
- 注册: 2011-09-01
- 专业: 计算数学与科学工程计算
2楼2011-10-09 10:37:45
3楼2011-10-09 10:39:47














回复此楼