| 查看: 1003 | 回复: 8 | ||
[求助]
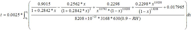
求助matlab解积分式
|
|
计算要求:公式如图 计算上式: t 以1为步长,计算到300 每个对应的t求出相对应的x,其中x0为0.1581 根据每个x值求出 A=1.515*0.2842*x/(1+0.2842*x) B=(0.02105*x^0.9208)/(1-x)^0.9208 要求也可见附件 |
» 本帖已获得的红花(最新10朵)
» 猜你喜欢
南开大学物理学院张书辉副教授招收凝聚态物理理论方向博士生、硕士生
已经有22人回复
杂志要求提供official language-editing certificate
已经有4人回复
物理学I论文润色/翻译怎么收费?
已经有76人回复
深圳大学2026年秋博士招生-物理学-活性胶体方向-高永祥课题组
已经有17人回复
论物质与能量的统一模型及物理现象解释
已经有0人回复
基于基元I统一理论的数学相关应用推导
已经有0人回复
基元I统一理论:宇宙本质、层级演化与修炼文明的本源规律
已经有1人回复
基元I理论下三大核心空间现象精准推导与细节解析
已经有0人回复
基于基元 I 统一理论的反重力理论推导
已经有0人回复
基于基元I统一理论的量子力学本源推导
已经有1人回复
推荐一款可以AI辅助写作的Latex编辑器SmartLatexEditor,超级好用,AI润色,全免费
已经有11人回复
» 本主题相关价值贴推荐,对您同样有帮助:
求助Matlab解方程问题
已经有6人回复
【求助】MATLAB 解方程组【已解决】
已经有7人回复
【求助】matlab 解矩阵方程 重金悬赏解决方案
已经有10人回复
【求助】使用MATLAB怎么实现拟合力场参数的程序?【已解决】
已经有15人回复
【求助】求教matlab解非线性方程组
已经有9人回复
【求助】关于MATLAB解三次方程
已经有7人回复

w1yu77
木虫 (正式写手)
- 应助: 2 (幼儿园)
- 金币: 2161.8
- 散金: 104
- 帖子: 385
- 在线: 67.7小时
- 虫号: 833848
- 注册: 2009-08-25
- 性别: GG
- 专业: 信息理论与信息系统

2楼2011-10-07 21:05:55

3楼2011-10-07 21:23:50

4楼2011-10-07 21:25:38
change0618
铁杆木虫 (著名写手)
方丈大师
- 计算强帖: 1
- 应助: 44 (小学生)
- 金币: 17724.5
- 红花: 17
- 帖子: 2413
- 在线: 546.7小时
- 虫号: 496517
- 注册: 2008-01-19
- 专业: 化学反应工程
5楼2011-10-08 09:15:24

6楼2011-10-08 10:21:13

7楼2011-10-08 10:26:20
yqx1985
木虫 (著名写手)
云中仙
- 应助: 34 (小学生)
- 贵宾: 0.032
- 金币: 1608.8
- 散金: 1181
- 红花: 33
- 帖子: 1544
- 在线: 620.3小时
- 虫号: 550008
- 注册: 2008-04-22
- 性别: GG
- 专业: 药物设计与药物信息

8楼2011-10-08 19:59:02

9楼2011-10-08 20:56:08













回复此楼
likuihei