| 查看: 772 | 回复: 3 | |
[求助]
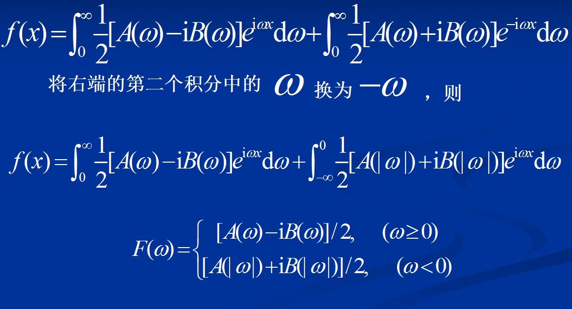
傅里叶级数公式
|
|
|
|
|
pengyehui木虫 (正式写手)
|
|
|
2楼2011-09-27 15:31:49
|
|
|
3楼2011-09-27 16:15:01
|
|
pengyehui木虫 (正式写手)
|
|
|
4楼2011-09-27 16:35:29
|
|














回复此楼