| 查看: 511 | 回复: 1 | ||
[求助]
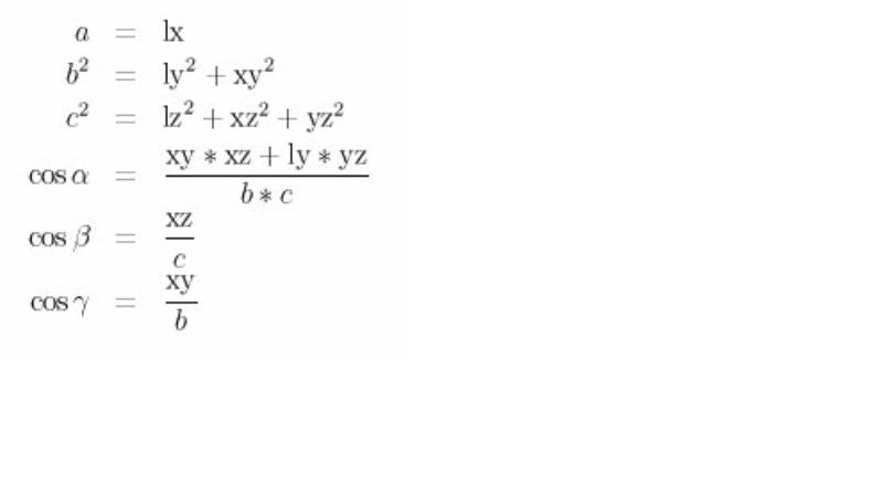
薅不住了,matlab算出来的结果怎么这么悲剧啊
|
||
|
|
||
change0618铁杆木虫 (著名写手)
方丈大师
|
【答案】应助回帖
yangmou(金币+2): 谢谢解答,好人啊 2011-10-01 13:59:32
|
|
|
2楼2011-10-01 09:53:25
|
|













,求高人解答。
回复此楼