版块导航
正在加载中...
客户端APP下载
论文辅导
申博辅导
登录
注册
帖子
帖子
用户
本版
应《网络安全法》要求,自2017年10月1日起,未进行实名认证将不得使用互联网跟帖服务。为保障您的帐号能够正常使用,请尽快对帐号进行手机号验证,感谢您的理解与支持!
24小时热门版块排行榜
>
论坛更新日志
(761)
>
虫友互识
(118)
>
硕博家园
(34)
>
论文投稿
(28)
>
导师招生
(24)
>
基金申请
(22)
>
考博
(16)
>
公派出国
(13)
>
教师之家
(11)
>
博后之家
(9)
>
论文道贺祈福
(9)
>
找工作
(9)
>
考研
(4)
>
招聘信息布告栏
(2)
>
文献求助
(2)
>
休闲灌水
(2)
小木虫论坛-学术科研互动平台
»
计算模拟区
»
计算模拟
»
求助:如何根据测出的数据求出式中的系数
3
1/1
返回列表
查看: 308 | 回复: 2
只看楼主
@他人
存档
新回复提醒
(忽略)
收藏
在APP中查看
w_wj
铜虫
(小有名气)
应助: 0
(幼儿园)
金币: 716.4
散金: 420
红花: 3
帖子: 291
在线: 142.3小时
虫号: 936534
注册: 2010-01-04
专业: 光谱分析
[
求助
]
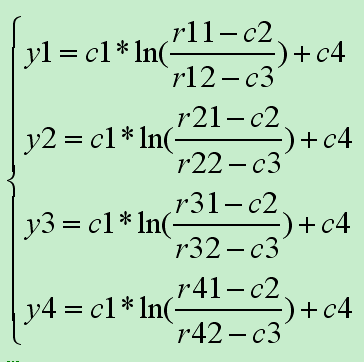
求助:如何根据测出的数据求出式中的系数
我测试出了四组数据
即公式中的r11 r12 r21 r22 r31 r32 r41 r42及y1 y2 y3 y4都是已知的数,如何得到满足这些关系的c1 c2 c3 c4呢,最好是用Matlab语言编程,多谢多谢
回复此楼
» 猜你喜欢
石墨烯转移--二氧化硅衬底石墨烯
已经有0人回复
笼目材料中量子自旋液体基态的证据
已经有0人回复
物理学I论文润色/翻译怎么收费?
已经有101人回复
数学教学论硕士可以读数学物理博士吗?
已经有0人回复
德国亥姆霍兹Hereon中心汉堡分部招镁合金腐蚀裂变SCC课题方向2026公派博士生
已经有4人回复
澳门大学 应用物理及材料工程研究院 潘晖教授课题组诚招博士后
已经有11人回复
求助NH4V4O10晶体的CIF文件
已经有0人回复
英国全奖博士招聘-深度学习与量子物理
已经有0人回复
间接带隙半导体有效质量求助
已经有1人回复
投稿chemical physical letters不送审?
已经有2人回复
南开大学物理学院张书辉副教授招收凝聚态物理理论方向博士生、硕士生
已经有4人回复
» 本主题相关价值贴推荐,对您同样有帮助:
【求助】请问哪里有测导热系数的,谢谢!
已经有28人回复
【求助】使用MATLAB拟合出按照公式的系数
已经有19人回复
【求助】表观污泥产率系数的测定
已经有3人回复
【求助】测扩散系数的实验方法
已经有11人回复
【求助】如何算摩尔吸光系数
已经有8人回复
【求助】多孔砖的导热系数如何测定?
已经有7人回复
【求助】求高人解释一下GPC测出的这些数据各代表的意思!
已经有8人回复
【求助】如何计算实验数据与已知方程的相关系数?
已经有6人回复
【求助】对流传热系数与温度的计算公式
已经有16人回复
【求助】如何用反射谱和透射谱求薄膜折射率和消光系数
已经有9人回复
【求助】求乌氏粘度计测聚乳酸的分子量的测试条件,以及公式系数
已经有6人回复
【求助】气相色谱,ZLC法测扩散系数
已经有6人回复
等待。。。。
1楼
2011-09-23 16:03:57
已阅
回复此楼
关注TA
给TA发消息
送TA红花
TA的回帖
connors
禁虫
(小有名气)
★
dbb627(金币+1): 欢迎交流 2011-12-06 09:02:08
w_wj(金币+2): 2011-12-06 09:40:40
本帖内容被屏蔽
2楼
2011-09-23 22:22:44
已阅
回复此楼
关注TA
给TA发消息
送TA红花
TA的回帖
dingd
铁杆木虫
(职业作家)
计算强帖: 4
应助: 1641
(讲师)
金币: 15037.3
散金: 101
红花: 234
帖子: 3410
在线: 1223.7小时
虫号: 291104
注册: 2006-10-28
【答案】应助回帖
★
dbb627(金币+1): 欢迎交流 2011-12-06 09:02:15
w_wj(金币+3): 2011-12-06 09:40:46
用1stOpt很容易啊,把数据放上来可以帮你算算!
赞
一下
(1人)
回复此楼
3楼
2011-12-04 21:40:24
已阅
回复此楼
关注TA
给TA发消息
送TA红花
TA的回帖
相关版块跳转
第一性原理
量子化学
计算模拟
分子模拟
仿真模拟
程序语言
我要订阅楼主
w_wj
的主题更新
3
1/1
返回列表
如果回帖内容含有宣传信息,请如实选中。否则帐号将被全论坛禁言
普通表情
龙
兔
虎
猫
百度网盘
|
360云盘
|
千易网盘
|
华为网盘
在新窗口页面中打开自己喜欢的网盘网站,将文件上传后,然后将下载链接复制到帖子内容中就可以了。
信息提示
关闭
请填处理意见
关闭
确定