版块导航
正在加载中...
客户端APP下载
论文辅导
申博辅导
登录
注册
帖子
帖子
用户
本版
应《网络安全法》要求,自2017年10月1日起,未进行实名认证将不得使用互联网跟帖服务。为保障您的帐号能够正常使用,请尽快对帐号进行手机号验证,感谢您的理解与支持!
24小时热门版块排行榜
>
论坛更新日志
(2888)
>
文献求助
(234)
>
导师招生
(163)
>
虫友互识
(128)
>
硕博家园
(53)
>
考博
(48)
>
教师之家
(34)
>
休闲灌水
(34)
>
绿色求助(高悬赏)
(33)
>
博后之家
(32)
>
论文投稿
(31)
>
找工作
(30)
>
基金申请
(28)
>
考研
(28)
>
SciFinder/Reaxys
(27)
>
论文道贺祈福
(25)
小木虫论坛-学术科研互动平台
»
计算模拟区
»
计算模拟
»
用origin里非线性最小二乘法是怎么拟合参数的????
15
1/2
返回列表
1
2
下一页
查看: 3772 | 回复: 14
只看楼主
@他人
存档
新回复提醒
(忽略)
收藏
在APP中查看
lwczcx
新虫
(初入文坛)
应助: 0
(幼儿园)
金币: 426.5
红花: 2
帖子: 50
在线: 31.1小时
虫号: 1305940
注册: 2011-05-25
专业: 金属功能材料
[
求助
]
用origin里非线性最小二乘法是怎么拟合参数的????
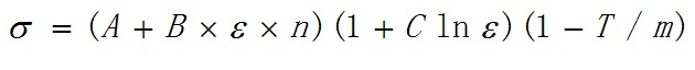
我想用origin的非线性最下二乘法拟合这个模型:σ=(A+Bεn)(1+Clnε*)(1-T*m)的5个参数,想请教下具体怎么做呢?
回复此楼
» 收录本帖的淘帖专辑推荐
origin软件使用教程
» 猜你喜欢
深圳大学2026年秋博士招生-物理学-活性胶体方向-高永祥课题组
已经有17人回复
论物质与能量的统一模型及物理现象解释
已经有0人回复
物理学I论文润色/翻译怎么收费?
已经有162人回复
基于基元I统一理论的数学相关应用推导
已经有0人回复
基元I统一理论:宇宙本质、层级演化与修炼文明的本源规律
已经有1人回复
基元I理论下三大核心空间现象精准推导与细节解析
已经有0人回复
基于基元 I 统一理论的反重力理论推导
已经有0人回复
基于基元I统一理论的量子力学本源推导
已经有1人回复
推荐一款可以AI辅助写作的Latex编辑器SmartLatexEditor,超级好用,AI润色,全免费
已经有15人回复
【EI|Scopus 双检索】第六届智能机器人系统国际会议(ISoIRS 2026)
已经有0人回复
2026年第四届电动车与车辆工程国际会议(CEVVE 2026)
已经有0人回复
» 本主题相关价值贴推荐,对您同样有帮助:
Origin8.0非线性拟合发酵动力学曲线怎么做啊?
已经有12人回复
求助,origin7.5 中的非线性拟合参数为什么一直在变,而且误差很大!!!
已经有4人回复
非线性最小二乘法编程问题
已经有8人回复
求助:origin8.0 自定义非线性拟合,参数拟合值与设定初始值一样
已经有18人回复
求助非线性最小二乘法
已经有5人回复
求助Origin最小二乘方拟合
已经有4人回复
【求助】如何根据势能曲线拟合力场参数
已经有19人回复
【讨论】急!!请教大家Origin7.5的非线性拟合中的初始值设定!
已经有2人回复
【求助】最小二乘法的拟合问题
已经有4人回复
【其他】如何进行最小二乘法的曲线拟合 或 给个最小二乘拟合软件
已经有6人回复
请教关于origin中自定义函数非线性回归拟合问题!
已经有10人回复
1楼
2011-08-26 08:40:20
已阅
回复此楼
关注TA
给TA发消息
送TA红花
TA的回帖
ipip1558
铁杆木虫
(著名写手)
应助: 17
(小学生)
贵宾: 0.082
金币: 6282.2
散金: 200
红花: 31
帖子: 1649
在线: 359.6小时
虫号: 766017
注册: 2009-05-08
性别:
MM
专业: 无机非金属类光电信息与功
数据传上来吧
回复此楼
2楼
2011-08-26 10:57:08
已阅
回复此楼
关注TA
给TA发消息
送TA红花
TA的回帖
lwczcx
新虫
(初入文坛)
应助: 0
(幼儿园)
金币: 426.5
红花: 2
帖子: 50
在线: 31.1小时
虫号: 1305940
注册: 2011-05-25
专业: 金属功能材料
是高速撞击的实验,得到的是应力应变曲线,然后想用johnson-cook模型这个应力变化过程,现在想用origin的非线性最下二乘法拟合这个模型的参数。你说的是应力应变的数据吗?
赞
一下
回复此楼
3楼
2011-08-26 19:14:19
已阅
回复此楼
关注TA
给TA发消息
送TA红花
TA的回帖
lwczcx
新虫
(初入文坛)
应助: 0
(幼儿园)
金币: 426.5
红花: 2
帖子: 50
在线: 31.1小时
虫号: 1305940
注册: 2011-05-25
专业: 金属功能材料
引用回帖:
2楼
:
Originally posted by
ipip1558
at 2011-08-26 10:57:08:
数据传上来吧
是高速撞击的实验,得到的是应力应变曲线,然后想用johnson-cook模型这个应力变化过程,现在想用origin的非线性最下二乘法拟合这个模型的参数。你说的是应力应变的数据吗?
赞
一下
回复此楼
4楼
2011-08-26 19:15:13
已阅
回复此楼
关注TA
给TA发消息
送TA红花
TA的回帖
ipip1558
铁杆木虫
(著名写手)
应助: 17
(小学生)
贵宾: 0.082
金币: 6282.2
散金: 200
红花: 31
帖子: 1649
在线: 359.6小时
虫号: 766017
注册: 2009-05-08
性别:
MM
专业: 无机非金属类光电信息与功
引用回帖:
4楼
:
Originally posted by
lwczcx
at 2011-08-26 19:15:13:
是高速撞击的实验,得到的是应力应变曲线,然后想用johnson-cook模型这个应力变化过程,现在想用origin的非线性最下二乘法拟合这个模型的参数。你说的是应力应变的数据吗?
是的,传一下我试试
PS:A、B、C是你需要拟合的参数吧。T、m已知?
赞
一下
回复此楼
5楼
2011-08-26 20:44:15
已阅
回复此楼
关注TA
给TA发消息
送TA红花
TA的回帖
lwczcx
新虫
(初入文坛)
应助: 0
(幼儿园)
金币: 426.5
红花: 2
帖子: 50
在线: 31.1小时
虫号: 1305940
注册: 2011-05-25
专业: 金属功能材料
★ ★
zsl_321123(金币+2): 鼓励交流 2011-09-06 11:54:59
引用回帖:
5楼
:
Originally posted by
ipip1558
at 2011-08-26 20:44:15:
是的,传一下我试试
PS:A、B、C是你需要拟合的参数吧。T、m已知?
对不起,这么久才回复你。B,n,C,m是要拟合的,其他的都是已知的。数据就上传了一个,你看下
赞
一下
(1人)
回复此楼
6楼
2011-08-30 15:45:41
已阅
回复此楼
关注TA
给TA发消息
送TA红花
TA的回帖
ipip1558
铁杆木虫
(著名写手)
应助: 17
(小学生)
贵宾: 0.082
金币: 6282.2
散金: 200
红花: 31
帖子: 1649
在线: 359.6小时
虫号: 766017
注册: 2009-05-08
性别:
MM
专业: 无机非金属类光电信息与功
引用回帖:
6楼
:
Originally posted by
lwczcx
at 2011-08-30 15:45:41:
对不起,这么久才回复你。B,n,C,m是要拟合的,其他的都是已知的。数据就上传了一个,你看下
请确认下公式:
ps:文件里第一列数据为σ,第二列数据为ε;其余的A、B、n、C、m是需要拟合的。是这样的吧
赞
一下
回复此楼
7楼
2011-08-31 23:09:03
已阅
回复此楼
关注TA
给TA发消息
送TA红花
TA的回帖
lwczcx
新虫
(初入文坛)
应助: 0
(幼儿园)
金币: 426.5
红花: 2
帖子: 50
在线: 31.1小时
虫号: 1305940
注册: 2011-05-25
专业: 金属功能材料
★
zsl_321123(金币+1): 感谢继续关注 2011-09-06 11:55:28
引用回帖:
7楼
:
Originally posted by
ipip1558
at 2011-08-31 23:09:03:
请确认下公式:
ps:文件里第一列数据为σ,第二列数据为ε;其余的A、B、n、C、m是需要拟合的。是这样的吧
n和m都是指数,不是乘数。不好意思,复制上来就变成这样了,也没注意看
赞
一下
(1人)
回复此楼
8楼
2011-09-01 19:11:35
已阅
回复此楼
关注TA
给TA发消息
送TA红花
TA的回帖
lixinnew027
至尊木虫
(著名写手)
应助: 3
(幼儿园)
金币: 12071.9
散金: 1410
红花: 30
帖子: 2594
在线: 326.1小时
虫号: 133360
注册: 2005-12-14
性别: GG
专业: 生物化学
帖子真精彩!
已经收录到淘贴专辑《
origin软件使用教程
》
赞
一下
回复此楼
期待2013
9楼
2011-09-01 19:19:37
已阅
回复此楼
关注TA
给TA发消息
送TA红花
TA的回帖
ipip1558
铁杆木虫
(著名写手)
应助: 17
(小学生)
贵宾: 0.082
金币: 6282.2
散金: 200
红花: 31
帖子: 1649
在线: 359.6小时
虫号: 766017
注册: 2009-05-08
性别:
MM
专业: 无机非金属类光电信息与功
引用回帖:
8楼
:
Originally posted by
lwczcx
at 2011-09-01 19:11:35:
n和m都是指数,不是乘数。不好意思,复制上来就变成这样了,也没注意看
请再核对一下
赞
一下
回复此楼
10楼
2011-09-01 21:34:29
已阅
回复此楼
关注TA
给TA发消息
送TA红花
TA的回帖
相关版块跳转
第一性原理
量子化学
计算模拟
分子模拟
仿真模拟
程序语言
我要订阅楼主
lwczcx
的主题更新
15
1/2
返回列表
1
2
下一页
如果回帖内容含有宣传信息,请如实选中。否则帐号将被全论坛禁言
普通表情
龙
兔
虎
猫
百度网盘
|
360云盘
|
千易网盘
|
华为网盘
在新窗口页面中打开自己喜欢的网盘网站,将文件上传后,然后将下载链接复制到帖子内容中就可以了。
信息提示
关闭
请填处理意见
关闭
确定