24СʱÈÈÃŰæ¿éÅÅÐаñ    

²é¿´: 1966  |  »Ø¸´: 9

avhg

ľ³æ (ÖøÃûдÊÖ)


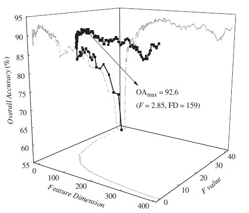
[½»Á÷] ´ó¼Ò°ïæ¿´¿´Õâ¸öÈýάͼÊÇÓÃʲôÈí¼þ»­µÄ

Õâ¸öͼÊÇÓÃʲôÈí¼þ»­µÄ¶î£¿
»Ø¸´´ËÂ¥

» ²ÂÄãϲ»¶

» ±¾Ö÷ÌâÏà¹Ø¼ÛÖµÌùÍÆ¼ö£¬¶ÔÄúͬÑùÓаïÖú:

» ÇÀ½ð±ÒÀ²£¡»ØÌû¾Í¿ÉÒԵõ½:

²é¿´È«²¿É¢½ðÌù

ÒÑÔÄ   »Ø¸´´ËÂ¥   ¹Ø×¢TA ¸øTA·¢ÏûÏ¢ ËÍTAºì»¨ TAµÄ»ØÌû

math2000

Ìú¸Ëľ³æ (Ö°Òµ×÷¼Ò)


avhg(½ð±Ò+2): µÈµçÄÔÖ´ÐÐÍê¼ÆËãÈÎÎñ¿´Ï£¬ÅÂÏÖÔÚÆô¶¯ËÀ»ú¡£O(¡É_¡É)O~ 2011-08-22 10:48:42
avhg(½ð±Ò+1): лл£¡Õâ¸öÊÇorigin»­µÄ£¬matlabÓ¦¸ÃÒ²¿ÉÒÔ 2011-08-23 22:58:02
ÓеãÏñmatlab
2Â¥2011-08-22 10:41:15
ÒÑÔÄ   »Ø¸´´ËÂ¥   ¹Ø×¢TA ¸øTA·¢ÏûÏ¢ ËÍTAºì»¨ TAµÄ»ØÌû

suliangliang

½ð³æ (СÓÐÃûÆø)


¡ï
Сľ³æ(½ð±Ò+0.5):¸ø¸öºì°ü£¬Ð»Ð»»ØÌû
avhg(½ð±Ò+2): лл£¡Õâ¸öÊÇorigin»­µÄ£¬matlabÓ¦¸ÃÒ²¿ÉÒÔ 2011-08-23 22:57:44
matlab ¿ÉÒÔ»­µÄ£¡
3Â¥2011-08-22 14:07:53
ÒÑÔÄ   »Ø¸´´ËÂ¥   ¹Ø×¢TA ¸øTA·¢ÏûÏ¢ ËÍTAºì»¨ TAµÄ»ØÌû

728728

ľ³æ (ÕýʽдÊÖ)


¡ï
Сľ³æ(½ð±Ò+0.5):¸ø¸öºì°ü£¬Ð»Ð»»ØÌû
´ÓͼµÄÊÓͼ·ç¸ñ»ù±¾¶Ï¶¨ÊÇorigin»­µÄ
4Â¥2011-08-24 02:36:05
ÒÑÔÄ   »Ø¸´´ËÂ¥   ¹Ø×¢TA ¸øTA·¢ÏûÏ¢ ËÍTAºì»¨ TAµÄ»ØÌû

seahsu

гæ (³õÈëÎÄ̳)


¡ï
Сľ³æ(½ð±Ò+0.5):¸ø¸öºì°ü£¬Ð»Ð»»ØÌû
¾õµÃÊÇmatlab,ûÓùýorigin
5Â¥2011-08-25 15:40:50
ÒÑÔÄ   »Ø¸´´ËÂ¥   ¹Ø×¢TA ¸øTA·¢ÏûÏ¢ ËÍTAºì»¨ TAµÄ»ØÌû

liupengfei

гæ (³õÈëÎÄ̳)


6Â¥2011-08-25 16:34:32
ÒÑÔÄ   »Ø¸´´ËÂ¥   ¹Ø×¢TA ¸øTA·¢ÏûÏ¢ ËÍTAºì»¨ TAµÄ»ØÌû

inuwqq

½ð³æ (ÖøÃûдÊÖ)


¸ø³ö¶Î³ÌÐò°É
7Â¥2011-08-25 17:14:13
ÒÑÔÄ   »Ø¸´´ËÂ¥   ¹Ø×¢TA ¸øTA·¢ÏûÏ¢ ËÍTAºì»¨ TAµÄ»ØÌû

963934493

½ð³æ (ÕýʽдÊÖ)


¡ï
Сľ³æ(½ð±Ò+0.5):¸ø¸öºì°ü£¬Ð»Ð»»ØÌû
ÊÇorigin£¬µ«ÊÇmatlabÒ²¿ÉÒÔ»°
8Â¥2011-10-01 14:41:13
ÒÑÔÄ   »Ø¸´´ËÂ¥   ¹Ø×¢TA ¸øTA·¢ÏûÏ¢ ËÍTAºì»¨ TAµÄ»ØÌû

klqfx1989

ľ³æ (СÓÐÃûÆø)


¡ï
Сľ³æ(½ð±Ò+0.5):¸ø¸öºì°ü£¬Ð»Ð»»ØÌû
ÏñÊÇorigin»­µÄ£¬²»Ì«ÏñMATLABµÄ·ç¸ñ
9Â¥2011-10-01 23:25:16
ÒÑÔÄ   »Ø¸´´ËÂ¥   ¹Ø×¢TA ¸øTA·¢ÏûÏ¢ ËÍTAºì»¨ TAµÄ»ØÌû

wytsd

ľ³æ (ÕýʽдÊÖ)


10Â¥2011-11-19 03:03:54
ÒÑÔÄ   »Ø¸´´ËÂ¥   ¹Ø×¢TA ¸øTA·¢ÏûÏ¢ ËÍTAºì»¨ TAµÄ»ØÌû
Ïà¹Ø°æ¿éÌø×ª ÎÒÒª¶©ÔÄÂ¥Ö÷ avhg µÄÖ÷Ìâ¸üÐÂ
×î¾ßÈËÆøÈÈÌûÍÆ¼ö [²é¿´È«²¿] ×÷Õß »Ø/¿´ ×îºó·¢±í
[¿¼ÑÐ] Ò»Ö¾Ô¸ËÕÖÝ´óѧ²ÄÁÏÇóµ÷¼Á£¬×Ü·Ö315£¨Ó¢Ò»£© +5 sbdksD 2026-03-19 5/250 2026-03-20 22:10 by luoyongfeng
[¿¼ÑÐ] ÖÐÄÏ´óѧ»¯Ñ§Ñ§Ë¶337Çóµ÷¼Á +3 niko- 2026-03-19 6/300 2026-03-20 21:58 by luoyongfeng
[¿¼ÑÐ] Ò»Ö¾Ô¸ ÄϾ©º½¿Õº½Ìì´óѧ´óѧ £¬080500²ÄÁÏ¿ÆÑ§Ó빤³Ìѧ˶ +5 @taotao 2026-03-20 5/250 2026-03-20 20:16 by JourneyLucky
[¿¼ÑÐ] 299Çóµ÷¼Á +3 shxchem 2026-03-20 4/200 2026-03-20 19:23 by zhukairuo
[¿¼ÑÐ] ÕÐÊÕµ÷¼Á˶ʿ +4 lidianxing 2026-03-19 12/600 2026-03-20 12:25 by lidianxing
[¿¼ÑÐ] 286·ÖÈ˹¤ÖÇÄÜרҵÇëÇóµ÷¼ÁÔ¸Òâ¿ç¿¼£¡ +3 lemonzzn 2026-03-17 4/200 2026-03-20 11:04 by lemonzzn
[¿¼ÑÐ] 344Çóµ÷¼Á +6 knight344 2026-03-16 7/350 2026-03-18 20:13 by walc
[¿¼ÑÐ] ÊÕ¸´ÊÔµ÷¼ÁÉú +4 ÓêºóÇïºÉ 2026-03-18 4/200 2026-03-18 14:16 by elevennnne
[¿¼ÑÐ] 0854£¬¼ÆËã»úÀàÕÐÊÕµ÷¼Á +3 ºúÀ±ÌÀ·ÅÌÇ 2026-03-15 6/300 2026-03-18 12:09 by Éϰ¶Éϰ¶¡­¡­..
[¿¼ÑÐ] 303Çóµ÷¼Á +4 î£08 2026-03-17 6/300 2026-03-18 11:01 by Iveryant
[¿¼ÑÐ] ÉúÎïѧ071000 329·ÖÇóµ÷¼Á +3 ÎÒ°®ÉúÎïÉúÎﰮΠ2026-03-17 3/150 2026-03-18 10:12 by macy2011
[¿¼ÑÐ] 277µ÷¼Á +5 ×ÔÓɼå±ý¹û×Ó 2026-03-16 6/300 2026-03-17 19:26 by Àîleezz
[¿¼ÑÐ] 268Çóµ÷¼Á +8 Ò»¶¨ÓÐѧÉÏ- 2026-03-14 9/450 2026-03-17 17:47 by laoshidan
[¿¼ÑÐ] ²ÄÁϹ¤³Ìר˶274Ò»Ö¾Ô¸211Çóµ÷¼Á +6 Ñ¦ÔÆÅô 2026-03-15 6/300 2026-03-17 11:05 by ѧԱh26Tkc
[¿¼ÑÐ] 275Çóµ÷¼Á +4 Ì«Ñô»¨ÌìÌ쿪ÐÄ 2026-03-16 4/200 2026-03-17 10:53 by ¹¦·ò·è¿ñ
[¿¼ÑÐ] 326Çóµ÷¼Á +4 ŵ±´¶û»¯Ñ§½±êéê 2026-03-15 7/350 2026-03-16 17:11 by ŵ±´¶û»¯Ñ§½±êéê
[¿¼ÑÐ] 321Çóµ÷¼Á +5 ´óÃ×·¹£¡ 2026-03-15 5/250 2026-03-16 16:33 by houyaoxu
[¿¼ÑÐ] 070300»¯Ñ§Ñ§Ë¶Çóµ÷¼Á +6 Ì«Ïë½ø²½ÁË0608 2026-03-16 6/300 2026-03-16 16:13 by kykm678
[¿¼ÑÐ] 327Çóµ÷¼Á +6 ʰ¹âÈÎȾ 2026-03-15 11/550 2026-03-15 22:47 by ʰ¹âÈÎȾ
[¿¼ÑÐ] 289Çóµ÷¼Á +4 ÕâôÃû×ÖÕ¦Ñù 2026-03-14 6/300 2026-03-14 18:58 by userper
ÐÅÏ¢Ìáʾ
ÇëÌî´¦ÀíÒâ¼û