| 查看: 4090 | 回复: 10 | |||||
雨夜潇潇木虫 (知名作家)
|
[求助]
荧光平均寿命计算
|
||||
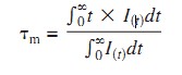
寿命曲线可用two-exponential 函数拟合后,即有两个寿命值,怎么算平均寿命呢。急呀!!!![]() ![]() 多谢! |
» 收录本帖的淘帖专辑推荐
稀土和过渡金属掺杂的无机发光材料 | 材料研究 | 学术 |
» 猜你喜欢
工科08-机械专硕-求调剂
已经有3人回复
一志愿苏州大学材料工程(085601)专硕有科研经历三项国奖两个实用型专利一项省级立项
已经有9人回复
材料工程302分求调剂
已经有8人回复
315求调剂
已经有14人回复
307分材料专业求调剂
已经有7人回复
材料调剂
已经有11人回复
262求调剂
已经有6人回复
一志愿北京交通大学材料工程总分358求调剂
已经有4人回复
一志愿青科085500,初试295分,公共课213分
已经有3人回复
304求调剂
已经有3人回复
» 本主题相关价值贴推荐,对您同样有帮助:
玻璃中双掺稀土离子,能量转移,荧光寿命,请教
已经有6人回复
理论计算荧光寿命
已经有12人回复
在origin 里 荧光衰减平均寿命如何计算? 非指数衰减。
已经有22人回复
求助荧光探针浓度增大,平均荧光寿命减小说明什么?
已经有1人回复
【求助】荧光寿命的计算
已经有20人回复
【求助】跪求有机物的荧光寿命测量及计算方法!!!
已经有5人回复
管理理论每日谈更新
已经有65人回复
【求助】荧光寿命的问题
已经有14人回复
【求助】荧光材料荧光淬灭与荧光寿命有什么联系。
已经有6人回复


9楼2012-03-08 10:02:44

2楼2011-08-19 21:08:35
sww8969
木虫 (正式写手)
且行且珍惜
- 应助: 3 (幼儿园)
- 金币: 4098.4
- 散金: 108
- 红花: 23
- 沙发: 2
- 帖子: 863
- 在线: 141.9小时
- 虫号: 1383705
- 注册: 2011-08-30
- 性别: MM
- 专业: 无机非金属类光电信息与功

3楼2011-12-18 19:43:10
sww8969
木虫 (正式写手)
且行且珍惜
- 应助: 3 (幼儿园)
- 金币: 4098.4
- 散金: 108
- 红花: 23
- 沙发: 2
- 帖子: 863
- 在线: 141.9小时
- 虫号: 1383705
- 注册: 2011-08-30
- 性别: MM
- 专业: 无机非金属类光电信息与功

4楼2011-12-18 19:45:20
雨夜潇潇
木虫 (知名作家)
- 应助: 0 (幼儿园)
- 金币: 6758.5
- 散金: 2865
- 红花: 1
- 沙发: 10
- 帖子: 7465
- 在线: 423.7小时
- 虫号: 800808
- 注册: 2009-06-29
- 专业: 无机非金属类光电信息与功

5楼2011-12-19 08:04:19
sww8969
木虫 (正式写手)
且行且珍惜
- 应助: 3 (幼儿园)
- 金币: 4098.4
- 散金: 108
- 红花: 23
- 沙发: 2
- 帖子: 863
- 在线: 141.9小时
- 虫号: 1383705
- 注册: 2011-08-30
- 性别: MM
- 专业: 无机非金属类光电信息与功

6楼2011-12-22 09:53:01
7楼2012-02-06 14:23:37

8楼2012-03-08 09:59:26
slzhao
铁虫 (正式写手)
- 应助: 26 (小学生)
- 金币: 4504.3
- 散金: 50
- 红花: 3
- 帖子: 642
- 在线: 212.5小时
- 虫号: 481918
- 注册: 2007-12-19
- 专业: 光学

10楼2012-03-11 09:31:12















回复此楼