| ²é¿´: 166 | »Ø¸´: 0 | |
lenienterÖÁ×ðľ³æ (ÖªÃû×÷¼Ò)
|
[ÇóÖú]
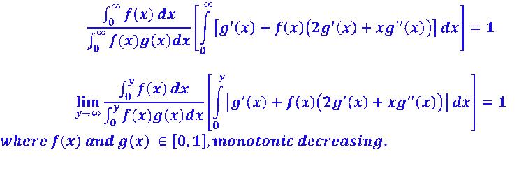
ÇóÖúÒ»¸ö»ý·ÖÖ¤Ã÷
|
|
|
|
|
ÕÒµ½Ò»Ð©Ïà¹ØµÄ¾«»ªÌû×Ó£¬Ï£ÍûÓÐÓÃŶ~
¿ÆÑдÓСľ³æ¿ªÊ¼£¬ÈËÈËΪÎÒ£¬ÎÒΪÈËÈË
|














»Ø¸´´ËÂ¥
µã»÷ÕâÀïËÑË÷¸ü¶àÏà¹Ø×ÊÔ´