| 查看: 466 | 回复: 5 | ||
aniulin金虫 (正式写手)
懒人之王
|
[求助]
求一个反应条件
|
|
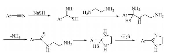
如图,这个反应的条件,参考文献上是:以乙二胺为溶剂,加入原料和硫,一起回流150min内反应完成。可是我做的反应了3个小时了,还有大部分原料未反应,不知道哪位GGJJ做过类似的反应,提供点帮助吧。谢谢 |
» 猜你喜欢
售SCI一区文章,我:8 O5 51O 54,科目齐全,可+急
已经有5人回复
售SCI一区文章,我:8 O5 51O 54,科目齐全,可+急
已经有6人回复
售SCI一区文章,我:8 O5 51O 54,科目齐全,可+急
已经有8人回复
售SCI一区文章,我:8 O5 51O 54,科目齐全,可+急
已经有3人回复
售SCI一区文章,我:8 O5 51O 54,科目齐全,可+急
已经有4人回复
版面费该交吗
已经有8人回复
售SCI一区文章,我:8 O5 51O 54,科目齐全,可+急
已经有5人回复
售SCI一区文章,我:8 O5 51O 54,科目齐全,可+急
已经有3人回复
基金正文30页指的是报告正文还是整个申请书
已经有6人回复
面上可以超过30页吧?
已经有4人回复
» 本主题相关价值贴推荐,对您同样有帮助:
求一个反应的条件
已经有11人回复
【求助】求较简单羧酸和比较复杂酚羟基的衍生物得酯化反应条件
已经有28人回复
【求助】克莱森重排反应条件!
已经有7人回复
【求助】酚羟基与环氧基进行缩水反应 需要什么条件?
已经有13人回复
【求助】求助一个羧基和氨基反应的条件
已经有17人回复
求助一个反应条件
已经有6人回复
【求助】求助一反应的条件及步骤
已经有9人回复
【求助】傅克酰基化反应(条件,投料比,反应温度)
已经有44人回复
aniulin
金虫 (正式写手)
懒人之王
- 应助: 0 (幼儿园)
- 金币: 739.6
- 散金: 590
- 帖子: 425
- 在线: 59.8小时
- 虫号: 851736
- 注册: 2009-09-19
- 性别: GG
- 专业: 有机合成
2楼2011-07-11 08:08:56
aniulin
金虫 (正式写手)
懒人之王
- 应助: 0 (幼儿园)
- 金币: 739.6
- 散金: 590
- 帖子: 425
- 在线: 59.8小时
- 虫号: 851736
- 注册: 2009-09-19
- 性别: GG
- 专业: 有机合成
3楼2011-07-11 15:49:54
longlifepill
至尊木虫 (职业作家)
梦寻诗人
- PhEPI: 2
- 应助: 15 (小学生)
- 金币: 19168.3
- 散金: 1774
- 红花: 23
- 帖子: 4402
- 在线: 973.2小时
- 虫号: 72331
- 注册: 2005-06-03
- 性别: GG
- 专业: 药物化学

4楼2011-07-11 18:31:42
5楼2011-07-11 21:39:43
aniulin
金虫 (正式写手)
懒人之王
- 应助: 0 (幼儿园)
- 金币: 739.6
- 散金: 590
- 帖子: 425
- 在线: 59.8小时
- 虫号: 851736
- 注册: 2009-09-19
- 性别: GG
- 专业: 有机合成
6楼2011-07-12 08:45:09













回复此楼