| 查看: 2793 | 回复: 13 | |||
[交流]
【求助】酚羟基与环氧基进行缩水反应 需要什么条件? 已有9人参与
|
|||
|
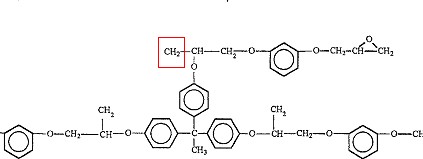
本人在做研究生课题,是有关防腐蚀性环氧树脂的合成。其中重要一步是三(对羟基苯基)乙烷与双环氧单体进行缩水反应,但是教科书上对于有关环氧基和羟基的一般反应没有缩水反应的情况,就是说最后生成的是醚醇,两个氧原子都存在,而不是缩水反应,请熟悉这方面的同学帮忙解答下。。。反应图如下 |
» 猜你喜欢
材料与化工371求调剂
已经有14人回复
336材料与化工085600求调剂
已经有7人回复
材料334求调剂
已经有18人回复
331求调剂
已经有8人回复
332求调剂
已经有17人回复
一志愿南京航空航天大学 材料与化工329分求调剂
已经有4人回复
材料专硕322
已经有7人回复
求调剂
已经有20人回复
一志愿郑州大学085600求调剂
已经有20人回复
化学调剂
已经有17人回复
» 本主题相关价值贴推荐,对您同样有帮助:
酸酐与环氧基的反应
已经有8人回复
环氧基开环的反应条件
已经有28人回复
环氧丙氧基丙基三甲氧基硅烷与棉布上的羟基在什么条件下反应?
已经有12人回复
羧酸和环氧基団能反应吗》?
已经有5人回复
请教各位羟基与环氧基可以反应吗?实验条件如何?
已经有23人回复
【求助】环氧基与伯胺反应后,产物用盐酸洗,产物上的仲胺是否会与盐酸反应?
已经有5人回复
【求助】环氧基与乙二胺的反应
已经有19人回复
【求助】酸性条件下,巯基可以和环氧基反应吗?
已经有4人回复
【讨论】环氧基和叔胺的反应条件?
已经有7人回复
8楼2011-03-04 12:47:07
wolfyloner
至尊木虫 (知名作家)
- PEPI: 2
- 应助: 755 (博后)
- 贵宾: 0.017
- 金币: 18525.1
- 红花: 107
- 帖子: 6760
- 在线: 1502小时
- 虫号: 578364
- 注册: 2008-07-04
- 性别: GG
- 专业: 应用高分子化学与物理

2楼2011-03-04 08:53:57
leejane_ren
铁杆木虫 (正式写手)
legend
- 应助: 14 (小学生)
- 金币: 6981.7
- 红花: 1
- 帖子: 380
- 在线: 155.5小时
- 虫号: 231134
- 注册: 2006-03-27
- 性别: GG
- 专业: 应用高分子化学与物理

3楼2011-03-04 09:12:56
4楼2011-03-04 10:01:18
5楼2011-03-04 10:19:22
6楼2011-03-04 10:42:54
wolfyloner
至尊木虫 (知名作家)
- PEPI: 2
- 应助: 755 (博后)
- 贵宾: 0.017
- 金币: 18525.1
- 红花: 107
- 帖子: 6760
- 在线: 1502小时
- 虫号: 578364
- 注册: 2008-07-04
- 性别: GG
- 专业: 应用高分子化学与物理

7楼2011-03-04 10:56:53
9楼2011-03-04 16:21:24
clytze_520
金虫 (小有名气)
- 应助: 0 (幼儿园)
- 金币: 998.1
- 散金: 54
- 帖子: 100
- 在线: 47.4小时
- 虫号: 542449
- 注册: 2008-04-09
- 专业: 高分子合成化学
10楼2011-03-07 14:49:23














回复此楼