| 查看: 1492 | 回复: 9 | ||
雁南飞6698至尊木虫 (著名写手)
恶人谷谷主
|
[求助]
一道数学公式
|
|
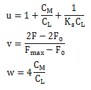
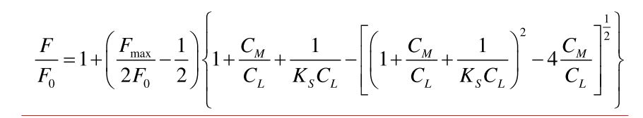
数学没学好,崩溃 以下的公式中,Ks是未知的,其他的数据都是已知或者可以从实验中得出,现在我要从中解出Ks,我想得到Ks的数学表达式,这样就可以直接将数据代入然后求解了。听说某些数学软件可以,但是我都不知道软件叫什么,如果给出能用的软件的名称也行 |
» 猜你喜欢
299求调剂
已经有8人回复
一志愿北京理工大学本科211材料工程294求调剂
已经有6人回复
300求调剂,材料科学英一数二
已经有8人回复
招收生物学/细胞生物学调剂
已经有5人回复
070305高分子化学与物理 304分求调剂
已经有7人回复
289求调剂
已经有13人回复
一志愿哈尔滨工业大学材料与化工方向336分
已经有9人回复
081200-11408-276学硕求调剂
已经有6人回复
调剂求院校招收
已经有5人回复
调剂310
已经有8人回复
» 本主题相关价值贴推荐,对您同样有帮助:
自基规定把数学公式转成图片格式了吗?某一学部还是所有学部,在指南上没查到啊?
已经有7人回复
word中数学公式的插入
已经有4人回复
江苏省自然科学基金怎么输入数学公式
已经有7人回复
外文中数学公式用什么软件输入
已经有6人回复
PPT中数学公式
已经有7人回复
【求助】根据化学成分计算变形抗力的数学公式
已经有7人回复
求助latax 编译数学公式提醒出错,如何修改(已解决)
已经有1人回复
有无计算复杂数学公式的软件
已经有4人回复
求助:数学公式推导
已经有4人回复

wyf19920719
铜虫 (小有名气)
- 应助: 0 (幼儿园)
- 金币: 155.6
- 散金: 17
- 红花: 2
- 帖子: 182
- 在线: 13.6小时
- 虫号: 1319717
- 注册: 2011-06-10
- 性别: GG
- 专业: 泛函分析
2楼2011-06-15 12:18:47
wyf19920719
铜虫 (小有名气)
- 应助: 0 (幼儿园)
- 金币: 155.6
- 散金: 17
- 红花: 2
- 帖子: 182
- 在线: 13.6小时
- 虫号: 1319717
- 注册: 2011-06-10
- 性别: GG
- 专业: 泛函分析
3楼2011-06-15 12:21:06
soliton923
铁杆木虫 (职业作家)
数学村村长
- 数学EPI: 1
- 应助: 36 (小学生)
- 贵宾: 0.565
- 金币: 4146.4
- 散金: 5275
- 红花: 72
- 沙发: 21
- 帖子: 3489
- 在线: 1501.2小时
- 虫号: 1005450
- 注册: 2010-04-25
- 性别: GG
- 专业: 数学物理

4楼2011-06-15 13:25:33
5楼2011-06-15 15:17:40
雁南飞6698
至尊木虫 (著名写手)
恶人谷谷主
- 应助: 2 (幼儿园)
- 金币: 23973.7
- 散金: 45
- 红花: 3
- 沙发: 1
- 帖子: 2018
- 在线: 2223.6小时
- 虫号: 668966
- 注册: 2008-12-06
- 性别: GG
- 专业: 金属有机化学

6楼2011-06-15 15:53:07
wyf19920719
铜虫 (小有名气)
- 应助: 0 (幼儿园)
- 金币: 155.6
- 散金: 17
- 红花: 2
- 帖子: 182
- 在线: 13.6小时
- 虫号: 1319717
- 注册: 2011-06-10
- 性别: GG
- 专业: 泛函分析
7楼2011-06-15 18:16:00
wgdxidname
木虫 (著名写手)
- 应助: 32 (小学生)
- 金币: 3350.1
- 散金: 878
- 红花: 9
- 帖子: 1375
- 在线: 284.2小时
- 虫号: 476192
- 注册: 2007-12-09
- 性别: GG
- 专业: 计算数学与科学工程计算

8楼2011-06-16 00:30:01
duotojh
金虫 (小有名气)
- 应助: 9 (幼儿园)
- 金币: 1066.6
- 红花: 5
- 帖子: 225
- 在线: 137.8小时
- 虫号: 1290636
- 注册: 2011-05-09
- 专业: 生物物理、生物化学与分子
9楼2011-06-16 22:36:04
duotojh
金虫 (小有名气)
- 应助: 9 (幼儿园)
- 金币: 1066.6
- 红花: 5
- 帖子: 225
- 在线: 137.8小时
- 虫号: 1290636
- 注册: 2011-05-09
- 专业: 生物物理、生物化学与分子
10楼2011-06-16 22:39:23














回复此楼