| ²é¿´: 646 | »Ø¸´: 1 | |||
lnjinlong½ð³æ (СÓÐÃûÆø)
|
[½»Á÷]
ÇóÖú¸÷λ°ïæ·ÖÎöÒ»ÏÂTG-DSC²âÊÔ£¡
|
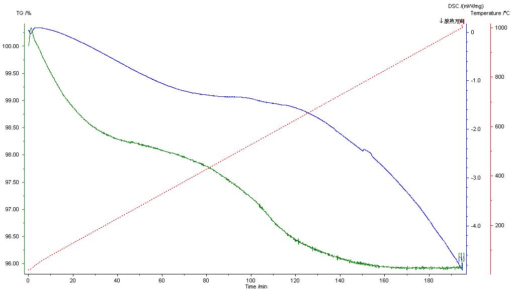
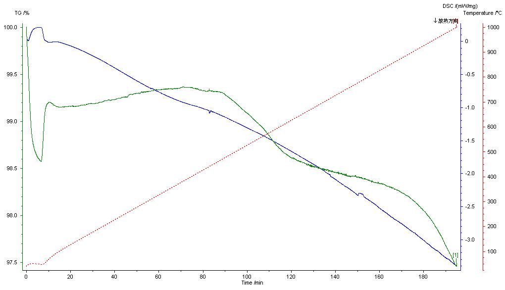
¸÷λºÃ£¡![]() ÎÒÕâÓÐÁ½¸ö·Ûú»ÒÑùÆ·µÄTG-DSC·ÖÎö²âÊÔ£¬ÓÉÓÚÎҷDZ¾×¨Òµ£¬Çë¸÷λ¸ßÊÖ°ïæ·ÖÎöһϣ¬×îºÃ¾ßÌåÒ»µã£¬²»Ê¤¸Ð¼¤£¡ ![]() |
» ²ÂÄãϲ»¶
Çóµ÷¼ÁԺУÐÅÏ¢
ÒѾÓÐ4È˻ظ´
085600²ÄÁÏÓ뻯¹¤306
ÒѾÓÐ4È˻ظ´
286Çóµ÷¼Á
ÒѾÓÐ10È˻ظ´
328Çóµ÷¼Á£¬Ó¢ÓïÁù¼¶551£¬ÓпÆÑоÀú
ÒѾÓÐ9È˻ظ´
Ò»Ö¾Ô¸±±¾©»¯¹¤´óѧ070300 ѧ˶336Çóµ÷¼Á
ÒѾÓÐ4È˻ظ´
286·ÖÈ˹¤ÖÇÄÜרҵÇëÇóµ÷¼ÁÔ¸Òâ¿ç¿¼£¡
ÒѾÓÐ8È˻ظ´
×ÊÔ´Óë»·¾³ µ÷¼ÁÉêÇë(333·Ö)
ÒѾÓÐ5È˻ظ´
280Çóµ÷¼Á
ÒѾÓÐ12È˻ظ´
269ר˶Çóµ÷¼Á
ÒѾÓÐ5È˻ظ´
²ÄÁÏѧ˶301·ÖÇóµ÷¼Á
ÒѾÓÐ7È˻ظ´
» ±¾Ö÷ÌâÏà¹Ø¼ÛÖµÌùÍÆ¼ö£¬¶ÔÄúͬÑùÓаïÖú:
¡¾ÇóÖú¡¿°ïæ·ÖÎöTG-DSC£¬Ô½ÏêϸԽºÃÁË
ÒѾÓÐ7È˻ظ´
¡¾ÇóÖú£¡DSC½âÎö¡¿¾Û±ûÏ©ËᣨPAA£©DSCͼÕÒ²»µ½²£Á§»¯Î¶ÈTg£¬DSCÇúÏßÒÉËÆÓÐÀä½á¾§·å~
ÒѾÓÐ10È˻ظ´
¡¾ÇóÖú¡¿°ïæ·ÖÎö·ÖÎöTG/DSCͼÆ×
ÒѾÓÐ14È˻ظ´
¡¾ÇóÖú¡¿ÎÞ»ú¾§ÌåTG-DSCÇóÖú
ÒѾÓÐ3È˻ظ´
¡¾ÇóÖú¡¿ÔÚ²»Í¬µ¥Î»ÀûÓÃDSC²âÊÔͬһ¿é²£Á§¸ÖµÄTg£¬³öÏÖÎÊÌâÁË£¿£¿
ÒѾÓÐ6È˻ظ´
¡¾ÇóÖú¡¿Çë¸ßÊÖ°ïæ·ÖÎöÒ»ÏÂÕâÕŹ̻¯DSCÇúÏßͼ£¬·Ç³£¸Ðл
ÒѾÓÐ18È˻ظ´
¡¾ÇóÖú¡¿¸ßÊÖ°ïæ·ÖÎöÒ»ÏÂDSCͼƬ ±¾È˲ËÄñ DSCÒ»µã²»¶®
ÒѾÓÐ4È˻ظ´
¡¾ÇóÖú¡¿TGºÍDSC
ÒѾÓÐ13È˻ظ´
¡¾ÇóÖú¡¿TG-DSC
ÒѾÓÐ13È˻ظ´

lnjinlong
½ð³æ (СÓÐÃûÆø)
- Ó¦Öú: 5 (Ó×¶ùÔ°)
- ½ð±Ò: 1478.8
- ºì»¨: 5
- Ìû×Ó: 300
- ÔÚÏß: 48.7Сʱ
- ³æºÅ: 798333
- ×¢²á: 2009-06-24
- ÐÔ±ð: GG
- רҵ: ¿óÎ﹤³ÌÓëÎïÖÊ·ÖÀë¿ÆÑ§
Missile521: ÇëÂ¥Ö÷ÄÍÐĵȴý³æÓѽâ´ð£¡ 2011-05-29 08:30:21
| ÔõôûÓÐÈË£¬°ïÎһشðÎÊÌâѽ£¡µÈ´ýÖÐ...... |

2Â¥2011-05-29 08:06:15















»Ø¸´´ËÂ¥
40