24小时热门版块排行榜    

北京石油化工学院2026年研究生招生接收调剂公告
查看: 300  |  回复: 0

yinhailiang

兑换贵宾

优秀!!有木有!!!优秀!!有木有!!!优秀!!有木有!!!优秀!!有木有!!!

[求助] 求命名

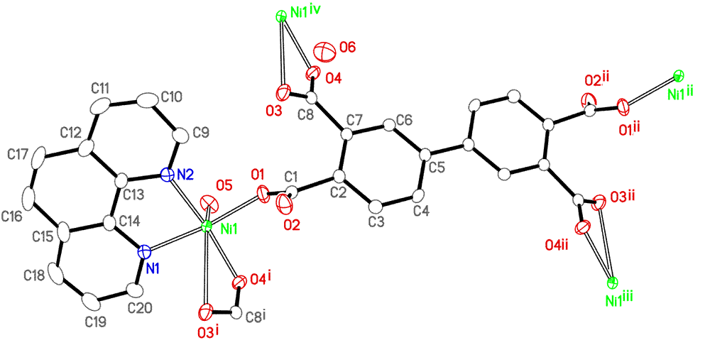
现有一晶体, [Ni(C16H6O8)0.5(C12H8N2)(H2O)]H2O,由于配体只有0.5个,求高手帮助命名,我自己命名如下Catena-[diaqua(µ6-Biphenyl-3,3′,4,4′-tetracarboxylato-k6O3:O3′:O3′′:O3′′′: O4,O4′)-bis(1,10-phenanthroline-k2N,N′)-di-Nickel(ii)]dihydrate,我是将各物质量加倍后命名的,这样是否合适,请高手帮忙改正.谢谢.
是不是应该改为
Catena-[aqua-hemi(µ6-Biphenyl-3,3′,4,4′-tetracarboxylato-k6O3:O3′:O3′′:O3′′′: O4,O4′)(1,10-phenanthroline-k2N,N′)Nickel(ii)]monohydrate



[ Last edited by yinhailiang on 2011-5-23 at 17:21 ]
回复此楼
已阅   回复此楼   关注TA 给TA发消息 送TA红花 TA的回帖
相关版块跳转 我要订阅楼主 yinhailiang 的主题更新
最具人气热帖推荐 [查看全部] 作者 回/看 最后发表
[考研] 一志愿武理材料工程302调剂环化或化工 +15 Doleres 2026-03-31 16/800 2026-04-01 09:49 by lfj11
[考研] 085701环境工程,267求调剂 +17 minht 2026-03-26 17/850 2026-04-01 09:11 by xiayizhi
[考研] 已决定调剂院校 +8 JKSOIID 2026-03-26 8/400 2026-03-31 19:51 by mg1014
[考研] 复试调剂 +7 双马尾痞老板2 2026-03-31 7/350 2026-03-31 19:49 by Dyhoer
[考研] 材料求调剂 一志愿哈工大总分298分,前三科223分 +11 dongfang59 2026-03-27 11/550 2026-03-31 16:51 by Wang200018
[考研] 本科211生物医学工程085409求调剂339分 +7 里子木yy 2026-03-29 7/350 2026-03-31 14:35 by fmesaito
[考研] 269求调剂 +4 我想读研11 2026-03-31 4/200 2026-03-31 10:04 by cal0306
[考研] 08工科,295,接受跨专业调剂 +6 lmnlzy 2026-03-30 6/300 2026-03-31 10:04 by cal0306
[考研] 085600材料与化工329分求调剂 +5 这是有太阳哇 2026-03-25 5/250 2026-03-31 09:59 by luoyongfeng
[考研] 083000环境科学与工程调剂,总分281 +4 橙子(胜意) 2026-03-30 4/200 2026-03-31 00:44 by Linzejun
[考研] 085602化工求调剂(331分) +8 111@127 2026-03-30 8/400 2026-03-30 21:23 by 研究僧导导
[考研] 抱歉 +3 田洪有 2026-03-30 3/150 2026-03-30 19:11 by 迷糊CCPs
[考研] 297求调剂 +17 田洪有 2026-03-26 18/900 2026-03-30 18:32 by nothing投稿中
[考研] 292求调剂 +13 是妍子也是研子 2026-03-30 13/650 2026-03-30 18:01 by 小徐0109
[考研] 334分 一志愿武理 材料求调剂 +16 李李不服输 2026-03-26 16/800 2026-03-30 17:47 by wangjy2002
[考研] 材料专硕 085600求调剂 +7 BBQ233 2026-03-30 7/350 2026-03-30 17:44 by oooqiao
[考研] 085405 考的11408求各位老师带走 +3 Qiu学ing 2026-03-28 3/150 2026-03-28 09:19 by 乐呵呵的追梦人
[考研] 266求调剂 +11 阳阳哇塞 2026-03-27 12/600 2026-03-27 17:56 by yu221
[考研] 305求调剂 +5 哇卢卡库 2026-03-26 5/250 2026-03-27 14:01 by laoshidan
[考研] 调剂 +4 柚柚yoyo 2026-03-26 4/200 2026-03-26 20:43 by fmesaito
信息提示
请填处理意见