| 查看: 1829 | 回复: 8 | ||
[求助]
XRD的峰值问题
|
|
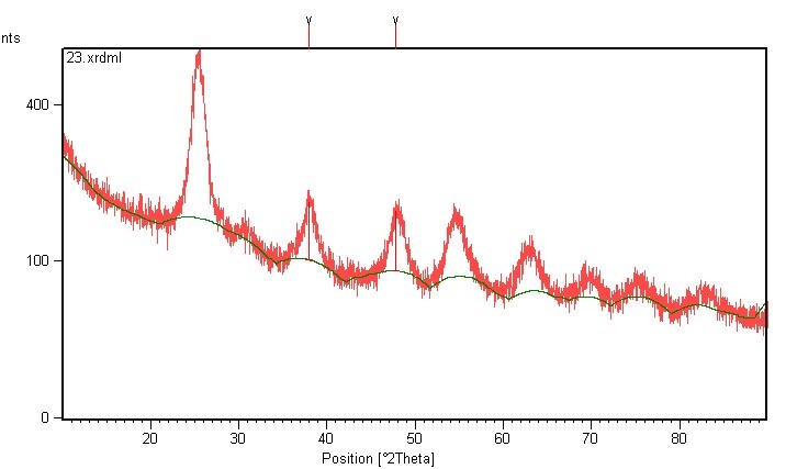
如题,我的XRD结果分析时,第一个峰处没有Highscore没有检测出来,请教各位学术牛人,这个是怎么回事呢?第一个峰明明很明显的啊。。还有就是我觉得自己做的是TiO(OH)2 TiO(NO3)2之类的物质,选中的分析元素是Ti O H N 可为什么没有这种物质的PDF卡号呢 是我的PDF卡片需要更新了吗 |
» 猜你喜欢
学院官方群-院士团队招生-学生自由度高-培养模式成熟已有10余名学生赴985海外深造
已经有0人回复
武汉纺织大学化工学院官方群-院士团队招生-学生自由度高-10余名学生赴985海外深造
已经有0人回复
无机化学论文润色/翻译怎么收费?
已经有178人回复
南昌航空大学蒋华麟教授课题组招收化学、环境、碳达峰碳中和及相关专业硕士信息
已经有0人回复
湖北师范大学复试调剂
已经有0人回复
武汉纺织大学_化工学院官方调剂群-院士团队招生-学生自由度高-每届发展好
已经有0人回复
河北大学材料与化工专业研究生(专硕)招收调剂生
已经有0人回复
河北大学无机化学专业招收调剂生
已经有0人回复
济南大学国家优青课题组 2026 调剂招生来啦
已经有0人回复
武汉纺织大学_化学院官方调剂群-院士团队招生-学生自由度高发展好-欢迎各位同学
已经有0人回复
» 本主题相关价值贴推荐,对您同样有帮助:
氧化石墨的XRD图的疑问及其它问题
已经有25人回复
请教关于石墨烯XRD的问题
已经有26人回复
XRD高角度峰值右移怎么解释
已经有7人回复
XRD的一个问题
已经有6人回复
XRD峰值偏差问题
已经有9人回复
【交流】有关XRD的问题
已经有19人回复
【求助】利用XRD计算晶粒大小中关与半高宽的问题
已经有7人回复
【求助】XRD图的强度问题
已经有6人回复
【求助】金属的XRD问题求助
已经有16人回复
【求助】单晶,多晶,不定型相的XRD图谱有何区别
已经有8人回复
【求助】.txt文件不能导入JADE5.0的问题?
已经有13人回复
【求助】为啥Pt/c催化剂用XRD看不见Pt的峰值?
已经有12人回复
【请教】XRD粉末衍射问题
已经有22人回复
【求助】XRD图谱中峰值最大的物质能不能说其含量最高?
已经有11人回复
hqhbj77
铁杆木虫 (正式写手)
- 应助: 18 (小学生)
- 金币: 5704.9
- 红花: 2
- 帖子: 321
- 在线: 317.6小时
- 虫号: 456509
- 注册: 2007-11-11
- 性别: GG
- 专业: 无机纳米化学
2楼2011-05-23 14:59:24
3楼2011-05-23 15:15:42
0_7_2_2
铁杆木虫 (著名写手)
- 应助: 0 (幼儿园)
- 金币: 11033.3
- 红花: 1
- 帖子: 1108
- 在线: 27.4小时
- 虫号: 1167502
- 注册: 2010-12-11
- 性别: GG
- 专业: 电化学

4楼2011-05-23 16:35:30
5楼2011-05-23 17:54:39
金光闪闪2010
至尊木虫 (职业作家)
- MN-EPI: 3
- 应助: 34 (小学生)
- 贵宾: 3.419
- 金币: 14156.9
- 散金: 6102
- 红花: 174
- 沙发: 40
- 帖子: 4639
- 在线: 888.5小时
- 虫号: 1056962
- 注册: 2010-07-13
- 性别: GG
- 专业: 凝聚态物性 II :电子结构

6楼2011-05-23 18:31:08
0_7_2_2
铁杆木虫 (著名写手)
- 应助: 0 (幼儿园)
- 金币: 11033.3
- 红花: 1
- 帖子: 1108
- 在线: 27.4小时
- 虫号: 1167502
- 注册: 2010-12-11
- 性别: GG
- 专业: 电化学

7楼2011-05-24 10:11:45
8楼2011-05-29 08:20:18
9楼2011-05-29 08:21:52














回复此楼
感谢提醒
5