| ²é¿´: 2005 | »Ø¸´: 13 | ||
444239852Òø³æ (ÕýʽдÊÖ)
|
[ÇóÖú]
¹ØÓÚ̬ÃܶȵÄÎÊÌ⣿£¿£¿
|
pwscf |
» ²ÂÄãϲ»¶
312Çóµ÷¼Á
ÒѾÓÐ5È˻ظ´
0703µ÷¼Á£¬Ò»Ö¾Ô¸Ìì½ò´óѧ319·Ö
ÒѾÓÐ9È˻ظ´
085600²ÄÁÏÓ뻯¹¤301·ÖÇóµ÷¼ÁԺУ
ÒѾÓÐ10È˻ظ´
ר˶0854³õÊÔ¿¼²Ä¿Æ»ù£¬Çóµ÷¼Á
ÒѾÓÐ3È˻ظ´
Çóµ÷¼Á
ÒѾÓÐ8È˻ظ´
085600£¬320·ÖÇóµ÷¼Á
ÒѾÓÐ17È˻ظ´
297·Ö083200ÇóÖú
ÒѾÓÐ3È˻ظ´
Çóµ÷¼Á
ÒѾÓÐ7È˻ظ´
Ò»Ö¾Ô¸±±½»´ó²ÄÁϹ¤³Ì×Ü·Ö358Çóµ÷¼Á
ÒѾÓÐ5È˻ظ´
Ò»Ö¾Ô¸ÄϾ©º½¿Õº½Ìì´óѧ ²ÄÁÏÓ뻯¹¤329·ÖÇóµ÷¼Á
ÒѾÓÐ7È˻ظ´
» ±¾Ö÷ÌâÏà¹ØÉ̼ÒÍÆ¼ö: (ÎÒÒ²ÒªÔÚÕâÀïÍÆ¹ã)
» ±¾Ö÷ÌâÏà¹Ø¼ÛÖµÌùÍÆ¼ö£¬¶ÔÄúͬÑùÓаïÖú:
¹ØÓÚ¹èÄÜ´øÍ¼ºÍ̬ÃܶȷÖÎö
ÒѾÓÐ11È˻ظ´
ÓйØÌ¬ÃܶÈÎÊÌ⣿£¿
ÒѾÓÐ3È˻ظ´
[ÇóÖú]¹ØÓÚ̬ÃܶÈͼµÄµ¥Î»ºÍ·ÖÎö
ÒѾÓÐ10È˻ظ´
VASP¼ÆËã̬ÃܶȳöÏÖÎÊÌâ
ÒѾÓÐ12È˻ظ´
¡¾ÇóÖú¡¿¹ØÓÚMSÈí¼þÖÐÄÜ´øºÍ̬ÃܶȵļÆËãÎÊÌâ
ÒѾÓÐ8È˻ظ´
¡¾ÇóÖú¡¿¹ØÓÚvasp̬ÃܶȼÆËã
ÒѾÓÐ10È˻ظ´
¡¾ÇóÖú¡¿ATK ÖйØÓÚ̬ÃܶȵÄÎÊÌâ
ÒѾÓÐ7È˻ظ´
¡¾ÇóÖú¡¿¹ØÓÚ̬ÃܶȵļÆËãµÄ»ù´¡ÎÊÌâ
ÒѾÓÐ10È˻ظ´
¡¾ÇóÖú¡¿¹ØÓÚ̬ÃܶȵÄÎÊÌâ
ÒѾÓÐ3È˻ظ´
bingmou
½ð³æ (ÖøÃûдÊÖ)
- 1STÇ¿Ìû: 5
- Ó¦Öú: 2 (Ó×¶ùÔ°)
- ¹ó±ö: 0.446
- ½ð±Ò: 431.9
- É¢½ð: 171
- ºì»¨: 17
- Ìû×Ó: 1207
- ÔÚÏß: 114.8Сʱ
- ³æºÅ: 487243
- ×¢²á: 2007-12-28
- רҵ: ²ÄÁÏ¿ÆÑ§/°ëµ¼Ìå
- ¹ÜϽ: µÚÒ»ÐÔÔÀí
¡ï
franch(½ð±Ò+1): лл»ØÌû½»Á÷ 2011-05-23 15:35:45
franch(½ð±Ò+1): лл»ØÌû½»Á÷ 2011-05-23 15:35:45
| Èç¹ûÄã²»ÖªµÀÄãÏëҪʲôÑùµÄÐÔÖÊ£¬ÄãΪʲôҪȥËãËüÄØ£¿ |
2Â¥2011-05-22 20:55:03
444239852
Òø³æ (ÕýʽдÊÖ)
- Ó¦Öú: 20 (СѧÉú)
- ½ð±Ò: 275.9
- É¢½ð: 40
- ºì»¨: 1
- Ìû×Ó: 555
- ÔÚÏß: 268Сʱ
- ³æºÅ: 1146976
- ×¢²á: 2010-11-15
- ÐÔ±ð: GG
- רҵ: Äý¾Û̬ÎïÐÔ II £ºµç×ӽṹ
3Â¥2011-05-22 21:03:42
woshilaoer8381
ÖÁ×ðľ³æ (ÖªÃû×÷¼Ò)
- Ó¦Öú: 1 (Ó×¶ùÔ°)
- ½ð±Ò: 12154.7
- ºì»¨: 4
- ɳ·¢: 2
- Ìû×Ó: 6131
- ÔÚÏß: 525.7Сʱ
- ³æºÅ: 583714
- ×¢²á: 2008-08-01
- רҵ: Äý¾Û̬ÎïÐÔ II £ºµç×ӽṹ
¡¾´ð°¸¡¿Ó¦Öú»ØÌû
¡ï
444239852(½ð±Ò+1): 2011-05-23 11:52:03
444239852(½ð±Ò+1): 2011-05-23 14:33:47
franch(½ð±Ò+1): лл»ØÌû½»Á÷ 2011-05-23 15:36:00
444239852(½ð±Ò+1): 2011-05-23 11:52:03
444239852(½ð±Ò+1): 2011-05-23 14:33:47
franch(½ð±Ò+1): лл»ØÌû½»Á÷ 2011-05-23 15:36:00
|
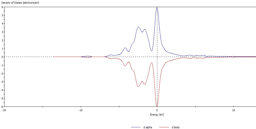
ÕâÒª¿´·Ö²¨Ì¬Ãܶȣ¡ |
4Â¥2011-05-22 21:07:40
hhp102
Ìú¸Ëľ³æ (СÓÐÃûÆø)
- Ó¦Öú: 0 (Ó×¶ùÔ°)
- ½ð±Ò: 5239.2
- ºì»¨: 3
- Ìû×Ó: 163
- ÔÚÏß: 138.7Сʱ
- ³æºÅ: 1150111
- ×¢²á: 2010-11-18
- ÐÔ±ð: GG
- רҵ: Äý¾Û̬ÎïÐÔ II £ºµç×ӽṹ
¡¾´ð°¸¡¿Ó¦Öú»ØÌû
¡ï
444239852(½ð±Ò+1): 2011-05-23 11:51:48
ºØÒÇ: È˼ҵķÑÃ×Äܼ¶´©¹ýµ¼´øÁË ÊǽðÊô 2011-05-23 15:17:27
franch(½ð±Ò+1): лл»ØÌû½»Á÷ 2011-05-23 15:36:09
444239852(½ð±Ò+1): 2011-05-23 11:51:48
ºØÒÇ: È˼ҵķÑÃ×Äܼ¶´©¹ýµ¼´øÁË ÊǽðÊô 2011-05-23 15:17:27
franch(½ð±Ò+1): лл»ØÌû½»Á÷ 2011-05-23 15:36:09
|
ËãµÄCO2MnSi?ËüÊÇÒ»¸ö°ë½ðÊô°¡£¬ÄãµÄ̬ÃܶÈÊǰ뵼Ìå°¡£¬Ôõô¿ÉÄÜ¡£¡£¡£¡£ |
5Â¥2011-05-22 22:59:07
263340380
гæ (СÓÐÃûÆø)
- Ó¦Öú: 0 (Ó×¶ùÔ°)
- ½ð±Ò: 8.8
- Ìû×Ó: 95
- ÔÚÏß: 2Сʱ
- ³æºÅ: 1298469
- ×¢²á: 2011-05-17
- רҵ: Äý¾Û̬ÎïÐÔ II £ºµç×ӽṹ
¡¾´ð°¸¡¿Ó¦Öú»ØÌû
¡ï ¡ï
444239852(½ð±Ò+1): 2011-05-23 11:51:55
ºØÒÇ(½ð±Ò+1): лл²ÎÓ룡 2011-05-23 15:18:54
franch(½ð±Ò+1): лл»ØÌû½»Á÷ 2011-05-23 15:36:19
444239852(½ð±Ò+1): 2011-05-23 11:51:55
ºØÒÇ(½ð±Ò+1): лл²ÎÓ룡 2011-05-23 15:18:54
franch(½ð±Ò+1): лл»ØÌû½»Á÷ 2011-05-23 15:36:19
| ¾ßÓÐÌú´ÅÐÔ£¬¿´·Ö̬ÃܶȿÉÒÔ¿´³ö£¬Ò²¿ÉÒÔ¿´Ô×ӵĴžأ¬ÔÚÓÅ»¯ºóµÄÎļþÀïÕÒ¡£ |
6Â¥2011-05-23 09:22:24
444239852
Òø³æ (ÕýʽдÊÖ)
- Ó¦Öú: 20 (СѧÉú)
- ½ð±Ò: 275.9
- É¢½ð: 40
- ºì»¨: 1
- Ìû×Ó: 555
- ÔÚÏß: 268Сʱ
- ³æºÅ: 1146976
- ×¢²á: 2010-11-15
- ÐÔ±ð: GG
- רҵ: Äý¾Û̬ÎïÐÔ II £ºµç×ӽṹ
7Â¥2011-05-23 11:50:57
ºØÒÇ
Ìú¸Ëľ³æ (ÖøÃûдÊÖ)
- 1STÇ¿Ìû: 5
- Ó¦Öú: 93 (³õÖÐÉú)
- ¹ó±ö: 0.636
- ½ð±Ò: 5937
- É¢½ð: 1063
- ºì»¨: 38
- ɳ·¢: 2
- Ìû×Ó: 2499
- ÔÚÏß: 588.7Сʱ
- ³æºÅ: 995125
- ×¢²á: 2010-04-12
- ÐÔ±ð: GG
- רҵ: Äý¾Û̬ÎïÐÔ II £ºµç×ӽṹ
¡¾´ð°¸¡¿Ó¦Öú»ØÌû
¡ï
franch(½ð±Ò+1): лл»ØÌû½»Á÷ 2011-05-23 21:24:11
franch(½ð±Ò+1): лл»ØÌû½»Á÷ 2011-05-23 21:24:11
|
ÕâÀï¿´²»³öÀ´¡£Òª¿´Ò²ÊÇû´ÅÐԵģ¨ÉÏÏÂDOSÊǶԳƵģ© |

8Â¥2011-05-23 15:19:46
hhp102
Ìú¸Ëľ³æ (СÓÐÃûÆø)
- Ó¦Öú: 0 (Ó×¶ùÔ°)
- ½ð±Ò: 5239.2
- ºì»¨: 3
- Ìû×Ó: 163
- ÔÚÏß: 138.7Сʱ
- ³æºÅ: 1150111
- ×¢²á: 2010-11-18
- ÐÔ±ð: GG
- רҵ: Äý¾Û̬ÎïÐÔ II £ºµç×ӽṹ
¡¾´ð°¸¡¿Ó¦Öú»ØÌû
¡ï
franch(½ð±Ò+1): лл»ØÌû½»Á÷ 2011-05-23 21:24:20
franch(½ð±Ò+1): лл»ØÌû½»Á÷ 2011-05-23 21:24:20
|
¶Ô£¬ÊǽðÊô£¡Í¨¹ý·Ö̬ÃܶȿÉÒÔ·ÖÎöÓÉÄÄЩÔ×ÓÌṩµÄ¡£ |
9Â¥2011-05-23 15:39:09
encke
ľ³æ (ÖøÃûдÊÖ)
- 1STÇ¿Ìû: 1
- Ó¦Öú: 14 (СѧÉú)
- ½ð±Ò: 3074.3
- É¢½ð: 47
- ºì»¨: 2
- Ìû×Ó: 1303
- ÔÚÏß: 198.6Сʱ
- ³æºÅ: 255155
- ×¢²á: 2006-05-27
- רҵ: ½ðÊô½á¹¹²ÄÁÏ
¡ï ¡ï
ºØÒÇ(½ð±Ò+1): ²»Òª´ò»÷ÐÂÊÖ¡¡Õâ¸öÒ²»òÐíËûÑ¡ÁËÖ»ÊÇÌåϵ×îºóûÓдÅÐÔ 2011-05-23 20:40:52
franch(½ð±Ò+1): лл»ØÌû½»Á÷ 2011-05-23 21:24:42
ºØÒÇ(½ð±Ò+1): ²»Òª´ò»÷ÐÂÊÖ¡¡Õâ¸öÒ²»òÐíËûÑ¡ÁËÖ»ÊÇÌåϵ×îºóûÓдÅÐÔ 2011-05-23 20:40:52
franch(½ð±Ò+1): лл»ØÌû½»Á÷ 2011-05-23 21:24:42
| ѹ¸ùûÓÐÑ¡Ôñ×ÔÐý¼«»¯£¬¼ÆËãµÄÊÇ˳´Å̬¡£¼ÆËã°ë½ðÊô£¬È´Á¬×î»ù±¾µÄ¶¼²»ÖªµÀ£¬ÐèÒª´òºÃ»ù±¾¹¦ÔÙ˵£¬²»ÊÇ»á²Ù×÷Èí¼þ¾Í»á¸ã¼ÆËãµÄ¡£ |
10Â¥2011-05-23 20:08:44














»Ø¸´´ËÂ¥

10