| 查看: 584 | 回复: 3 | ||
[求助]
红外 散尽金币,急求高手指点啊
|
|
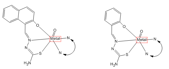
测了两个配合物 及其配体的 红外 发现CH=N 的波数变化为: 萘醛希夫碱1625 萘醛希夫碱所形成的配合物的CH=N 的波数为1609- 1606 而水杨醛希夫碱的1606 水杨醛希夫碱形成的配合物的CH=N 的波数为 1624 为什么这两组化合物的红外波数变化会相反呢? 散尽金币,急求高手指点啊 [ Last edited by Aqiong on 2011-5-19 at 18:29 ] |
» 猜你喜欢
机械专硕325,寻找调剂院校
已经有4人回复
333求调剂
已经有7人回复
考研化学学硕调剂,一志愿985
已经有4人回复
0854控制工程 359求调剂 可跨专业
已经有9人回复
梁成伟老师课题组欢迎你的加入
已经有9人回复
化学调剂0703
已经有8人回复
环境工程调剂
已经有6人回复
326求调剂
已经有7人回复
一志愿985,本科211,0817化学工程与技术319求调剂
已经有5人回复
今年的国基金是打分制吗?
已经有3人回复
» 本主题相关价值贴推荐,对您同样有帮助:
急求帮忙解析两种类似物质红外谱图,请高手帮忙,谢谢
已经有20人回复
关于苷类 求高手指点
已经有17人回复
急求:高手解析一张红外光谱
已经有8人回复
新人求助啦!!!新人 金币不多 望各位高手指点 谢啦
已经有7人回复
急求高手指点:色谱峰面积比例
已经有9人回复
求高手指点witting反应
已经有14人回复
小妹急求电脑高手指点:软件安装了不能用,谢谢!
已经有1人回复
聚合物红外光谱图 要怎么分析?请各位高手指点,谢谢!
已经有10人回复
【求助】金币求助高手能否指点如何画出含分叉问题的微分方程组的相图
已经有3人回复
【求助】原位红外-CO吸附时的压力应为多少呢?希望高手指点
已经有11人回复
我能写出来一片英文文章吗?希望高手进来指点一下,新手没金币,全散了
已经有11人回复
(10金币感谢)格式审查的回信,没搞明白什么意思,请高手指点...
已经有9人回复
【求助】红外光谱分析望高手指点!
已经有6人回复
【求助】急求高手指点有关红外谱纵坐标的问题!
已经有4人回复

wangchangwei
铁杆木虫 (职业作家)
超级木虫
- 博学EPI: 4
- 应助: 162 (高中生)
- 金币: 8520
- 散金: 264
- 红花: 5
- 沙发: 30
- 帖子: 4643
- 在线: 474.5小时
- 虫号: 1257261
- 注册: 2011-04-06
- 性别: GG
- 专业: 功能与智能高分子
2楼2011-05-19 21:13:05

3楼2011-05-19 22:07:41

4楼2011-05-24 15:54:04













回复此楼
50