| ²é¿´: 369 | »Ø¸´: 1 | ||
| ±¾Ìû²úÉú 1 ¸ö ²©Ñ§EPI £¬µã»÷ÕâÀï½øÐв鿴 | ||
hellojesusÌú¸Ëľ³æ (³õÈëÎÄ̳)
|
[ÇóÖú]
¡¾ÇóÖú¡¿¹«Ê½ÍƵ¼
|
|
|
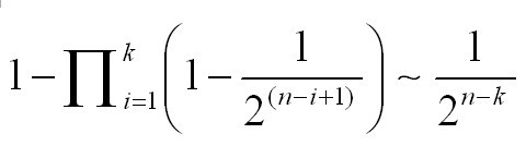
n>k£¬ÍƵ¼½üËÆ¹ý³Ì£º Çó×óʽÏòÓҵĽüËÆ¹ý³Ì£¬Ð»Ð»~~ [ Last edited by hellojesus on 2011-5-16 at 22:28 ] |
» ²ÂÄãϲ»¶
²ÄÁϹ¤³Ì085601£¬270Çóµ÷¼Á
ÒѾÓÐ24È˻ظ´
085404 293Çóµ÷¼Á
ÒѾÓÐ3È˻ظ´
µ÷¼Á
ÒѾÓÐ21È˻ظ´
¸´ÊÔµ÷¼Á£¬Ò»Ö¾Ô¸Ö£ÖÝ´óѧ²ÄÁÏÓ뻯¹¤289·Ö
ÒѾÓÐ15È˻ظ´
08¹¤¿ÆÇóµ÷¼Á290·Ö
ÒѾÓÐ12È˻ظ´
286Çóµ÷¼Á
ÒѾÓÐ16È˻ظ´
²ÄÁÏÀà284µ÷¼Á
ÒѾÓÐ24È˻ظ´
¿¼Ñе÷¼Á-²ÄÁÏÀà-284
ÒѾÓÐ14È˻ظ´
327Çóµ÷¼Á
ÒѾÓÐ11È˻ظ´
Ò»Ö¾Ô¸985³õÊÔ354·ÖÉúÎïµ÷¼Á
ÒѾÓÐ3È˻ظ´
» ±¾Ö÷ÌâÏà¹Ø¼ÛÖµÌùÍÆ¼ö£¬¶ÔÄúͬÑùÓаïÖú:
¡¾ÇóÖú¡¿º¸·ì×îСÓà¸ßÍÆµ¼¹«Ê½ÒÔ¼°¹ý³Ì
ÒѾÓÐ0È˻ظ´
¡¾ÇóÖú¡¿ÇóÖúлÀÖ¹«Ê½µÄÍÆµ¼
ÒѾÓÐ1È˻ظ´
¡¾ÇóÖú¡¿ÊýÑ§ÍÆµ¼
ÒѾÓÐ3È˻ظ´
¡¾ÇóÖú¡¿ÇóÖú¶ÔÊý¹«Ê½µÄÍÆµ¼£¬Ð»Ð»¡£
ÒѾÓÐ3È˻ظ´
¡¾ÇóÖú¡¿ÍƵ¼¹«Ê½ÎªÊ²Ã´°Ñe¡¢hµ±×ö1¿´´ý
ÒѾÓÐ5È˻ظ´
¡¾ÇóÖú¡¿·´Ó¦¹¤³ÌÔÀí ¹«Ê½ÍƵ¼
ÒѾÓÐ4È˻ظ´
¡¾ÇóÖú¡¿Ç󻯹¤´«µÝ¹ý³Ì»ù´¡Öеĸ÷¸ö¹«Ê½µÄÍÆµ¼¹ý³Ì
ÒѾÓÐ6È˻ظ´
¡¾ÇóÖú¡¿ÔõÑùÍÆµ¼²»Í¬NAÖµ£¬ÕÛÉäÂÊϵĵãÀ©É¢º¯Êý
ÒѾÓÐ1È˻ظ´
¡¾ÇóÖú¡¿³ÏÐÄÇóÖú¸µÀïÒ¶¼¶ÊýÏà¹Ø¹«Ê½ÍƵ¼½âÊÍ¡¾Òѽâ¾ö¡¿
ÒѾÓÐ10È˻ظ´
¡¾ÇóÖú¡¿Õâ¸ö¹ÖÒ칫ʽÊÇÈçºÎÍÆµ¼³öÀ´µÄ£¿
ÒѾÓÐ9È˻ظ´
¡¾ÇóÖú¡¿mathematica ¹«Ê½ÍƵ¼ µÄ ¼ò»¯ÎÊÌ⡾ÒÑÍê³É¡¿
ÒѾÓÐ3È˻ظ´
¡¾ÇóÖú¡¿ÇóËùÓжÔÊý¹«Ê½£¨°üÀ¨ÍƵ¼µÄ£©
ÒѾÓÐ2È˻ظ´
lj718
Ìú¸Ëľ³æ (ÎÄ̳¾«Ó¢)
½û³æ
- ²©Ñ§EPI: 89
- Ó¦Öú: 0 (Ó×¶ùÔ°)
- ½ð±Ò: 904.3
- É¢½ð: 8133
- ºì»¨: 25
- ɳ·¢: 384
- Ìû×Ó: 11022
- ÔÚÏß: 817Сʱ
- ³æºÅ: 273954
- ×¢²á: 2006-08-20
- ÐÔ±ð: GG
- רҵ: ÎÄä
¡¾´ð°¸¡¿Ó¦Öú»ØÌû
hellojesus(½ð±Ò+1, ²©Ñ§EPI+1): ºÇºÇ~ 2011-05-23 21:33:23
| ³Áµ×ÁË£¬ÓÑÇé°ï¶¥£¬×£¸£×£¸£×£¸£×£¸£×£¸£×£¸£×£¸£×£¸£×£¸£×£¸£×£¸£×£¸£×£¸£×£¸£×£¸£×£¸£×£¸£×£¸£ |

2Â¥2011-05-22 20:07:36













»Ø¸´´ËÂ¥