| ²é¿´: 1564 | »Ø¸´: 8 | ||
erictan2046ͳæ (ÕýʽдÊÖ)
|
[ÇóÖú]
[ÇóÖú]½ô¼±¾ÈÖúÏÂÁÐ2ÌâÊýѧÌ⣨ֱÏß·½³Ì£©¡£
|
|
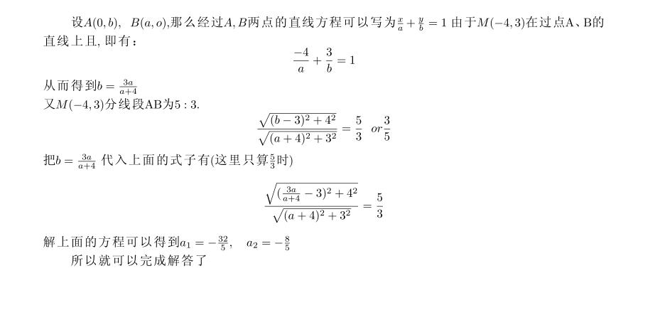
ÎÊÌ⣺ 1.£©´ÓÒ»µãQ£¨5£¬1£©µ½Í¨¹ýÒ»µãP£¨2£¬5£©µÄÖ±ÏߵľàÀëµÈÓÚ3¡£ÊÔÇó´ËÖ±Ïß·½³Ìʽ¡£ 2.£©Ò»Ö±Ïßͨ¹ýµãM£¨-4£¬3£©ÇÒµãM·Ö¸ÃÖ±ÏßΪÁ½ÖáËù½ØµÃÏß¶ÎAB³É5£º3£¬ÊÔÇóÕâÒ»Ö±Ïߵķ½³Ìʽ¡£ Çë¸÷·ӢÐÛ°ïæ½âÕâ2Ì⣬¸Ð¼¤²»¾¡¡£°ïæ°ïæ~~£¡ ÇëÏêϸ¹ý³Ì~~лл [ Last edited by soliton923 on 2011-5-9 at 20:08 ] |
» ²ÂÄãϲ»¶
292Çóµ÷¼Á
ÒѾÓÐ3È˻ظ´
340Çóµ÷¼Á
ÒѾÓÐ5È˻ظ´
ÉúÎïѧѧ˶Çóµ÷¼Á
ÒѾÓÐ10È˻ظ´
ÉϺ£µçÁ¦´óѧ²ÄÁÏ·À»¤ÓëвÄÁÏÖØµãʵÑéÊÒÕÐÊÕµ÷¼ÁÑо¿Éú£¨²ÄÁÏ¡¢»¯Ñ§¡¢µç»¯Ñ§£¬»·¾³£©
ÒѾÓÐ4È˻ظ´
²ÄÁÏѧÇóµ÷¼Á
ÒѾÓÐ6È˻ظ´
303Çóµ÷¼Á
ÒѾÓÐ5È˻ظ´
Ò»Ö¾Ô¸ÎäÀí085500»úеרҵ×Ü·Ö300Çóµ÷¼Á
ÒѾÓÐ7È˻ظ´
¿¼Ñе÷¼Á
ÒѾÓÐ4È˻ظ´
281Çóµ÷¼Á
ÒѾÓÐ4È˻ظ´
0805 316Çóµ÷¼Á
ÒѾÓÐ6È˻ظ´
» ±¾Ö÷ÌâÏà¹Ø¼ÛÖµÌùÍÆ¼ö£¬¶ÔÄúͬÑùÓаïÖú:
ͳ¼Æ´ïÈËÇë½ø£¬½ð±ÒÇóÖúÁ½µÀÊý¾Ý´¦ÀíµÄÌâ
ÒѾÓÐ10È˻ظ´
Ò»µÀÊýѧÌ⣬ÇëÇó¸ßÊÖÃǴͽ̣¡£¡
ÒѾÓÐ3È˻ظ´
½ô¼±¾ÈÖú£¡¹ØÓÚÓ¢ÎÄУ¸åµÄһЩÎÊÌâ
ÒѾÓÐ7È˻ظ´
soliton923
Ìú¸Ëľ³æ (Ö°Òµ×÷¼Ò)
Êýѧ´å´å³¤
- ÊýѧEPI: 1
- Ó¦Öú: 36 (СѧÉú)
- ¹ó±ö: 0.565
- ½ð±Ò: 4146.4
- É¢½ð: 5275
- ºì»¨: 72
- ɳ·¢: 21
- Ìû×Ó: 3489
- ÔÚÏß: 1501.2Сʱ
- ³æºÅ: 1005450
- ×¢²á: 2010-04-25
- ÐÔ±ð: GG
- רҵ: ÊýѧÎïÀí

2Â¥2011-05-09 18:48:49
andsc
ľ³æ (СÓÐÃûÆø)
- Ó¦Öú: 1 (Ó×¶ùÔ°)
- ½ð±Ò: 1694.7
- Ìû×Ó: 56
- ÔÚÏß: 54.1Сʱ
- ³æºÅ: 1278544
- ×¢²á: 2011-04-26
- ÐÔ±ð: GG
- רҵ: ÊýÀíÂß¼ºÍÓë¼ÆËã»úÏà¹ØµÄ
¡¾´ð°¸¡¿Ó¦Öú»ØÌû
¡ï
soliton923(½ð±Ò+1): лл²ÎÓë~~~ 2011-05-09 19:23:12
soliton923(½ð±Ò+1): лл²ÎÓë~~~ 2011-05-09 19:23:12
|
µÚ¶þÌ⣺¿ÉÒÔͨ¹ý×÷ͼÀ´½â ͨ¹ýÖ±½Ç×ø±êϵ£¬ÉèÖ±Ïß·½³ÌΪX/a+Y/b=1,½«M µã´úÈ룬Ȼºó ¸ù¾Ý±ÈÀý5£º3Çó½â ÓÐ2¸ö´ð°¸ |

3Â¥2011-05-09 18:56:53
andsc
ľ³æ (СÓÐÃûÆø)
- Ó¦Öú: 1 (Ó×¶ùÔ°)
- ½ð±Ò: 1694.7
- Ìû×Ó: 56
- ÔÚÏß: 54.1Сʱ
- ³æºÅ: 1278544
- ×¢²á: 2011-04-26
- ÐÔ±ð: GG
- רҵ: ÊýÀíÂß¼ºÍÓë¼ÆËã»úÏà¹ØµÄ
¡¾´ð°¸¡¿Ó¦Öú»ØÌû
¡ï
soliton923(½ð±Ò+1): лл²ÎÓë~~~ 2011-05-09 19:23:24
soliton923(½ð±Ò+1): лл²ÎÓë~~~ 2011-05-09 19:23:24
| ²¹³ä£ºÓÉÓÚ²»ÖªµÀ£¬ÓëXÖáµÄ½ÐµãλA»òB£¬¹Ê¿ÉÄÜAM:BM=5:3»ò3:5.ËùÒÔÓÐ2¸ö´ð°¸ |

4Â¥2011-05-09 19:03:36
jfili
½ð³æ (ÕýʽдÊÖ)
- ÊýѧEPI: 17
- Ó¦Öú: 17 (СѧÉú)
- ¹ó±ö: 0.25
- ½ð±Ò: 2063.5
- É¢½ð: 110
- ºì»¨: 6
- ɳ·¢: 1
- Ìû×Ó: 594
- ÔÚÏß: 111.6Сʱ
- ³æºÅ: 730814
- ×¢²á: 2009-03-25
- רҵ: ƫ΢·Ö·½³Ì
- ¹ÜϽ: Êýѧ
5Â¥2011-05-09 19:24:26
erictan2046
ͳæ (ÕýʽдÊÖ)
- Ó¦Öú: 0 (Ó×¶ùÔ°)
- ½ð±Ò: 170.8
- É¢½ð: 22
- ºì»¨: 2
- Ìû×Ó: 387
- ÔÚÏß: 43.4Сʱ
- ³æºÅ: 577082
- ×¢²á: 2008-06-22
- ÐÔ±ð: GG
- רҵ: ÉúÎﻯѧÓë·Ö×ÓÉúÎïѧ
6Â¥2011-05-09 20:37:52
soliton923
Ìú¸Ëľ³æ (Ö°Òµ×÷¼Ò)
Êýѧ´å´å³¤
- ÊýѧEPI: 1
- Ó¦Öú: 36 (СѧÉú)
- ¹ó±ö: 0.565
- ½ð±Ò: 4146.4
- É¢½ð: 5275
- ºì»¨: 72
- ɳ·¢: 21
- Ìû×Ó: 3489
- ÔÚÏß: 1501.2Сʱ
- ³æºÅ: 1005450
- ×¢²á: 2010-04-25
- ÐÔ±ð: GG
- רҵ: ÊýѧÎïÀí

7Â¥2011-05-09 21:12:34
erictan2046
ͳæ (ÕýʽдÊÖ)
- Ó¦Öú: 0 (Ó×¶ùÔ°)
- ½ð±Ò: 170.8
- É¢½ð: 22
- ºì»¨: 2
- Ìû×Ó: 387
- ÔÚÏß: 43.4Сʱ
- ³æºÅ: 577082
- ×¢²á: 2008-06-22
- ÐÔ±ð: GG
- רҵ: ÉúÎﻯѧÓë·Ö×ÓÉúÎïѧ
8Â¥2011-05-09 21:59:15
soliton923
Ìú¸Ëľ³æ (Ö°Òµ×÷¼Ò)
Êýѧ´å´å³¤
- ÊýѧEPI: 1
- Ó¦Öú: 36 (СѧÉú)
- ¹ó±ö: 0.565
- ½ð±Ò: 4146.4
- É¢½ð: 5275
- ºì»¨: 72
- ɳ·¢: 21
- Ìû×Ó: 3489
- ÔÚÏß: 1501.2Сʱ
- ³æºÅ: 1005450
- ×¢²á: 2010-04-25
- ÐÔ±ð: GG
- רҵ: ÊýѧÎïÀí

9Â¥2011-05-09 22:49:54













»Ø¸´´ËÂ¥