| 查看: 629 | 回复: 3 | |
lizhuoshu木虫 (小有名气)
|
[求助]
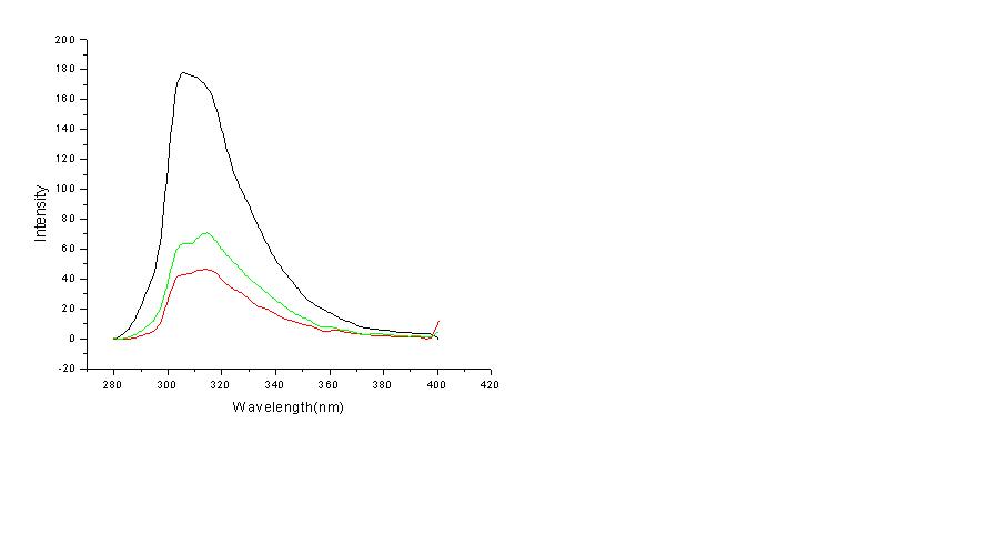
求高手解此荧光图
|
|
|
|
|
2楼2011-05-08 16:36:56
|
|
duanshuiren金虫 (小有名气)
少校
|
|
![]() |
|
|
3楼2011-05-11 21:43:27
|
|
shq.l铁杆木虫 (正式写手)
|
|
|
4楼2011-05-12 14:51:44
|
|













回复此楼
