版块导航
正在加载中...
客户端APP下载
论文辅导
申博辅导
登录
注册
帖子
帖子
用户
本版
应《网络安全法》要求,自2017年10月1日起,未进行实名认证将不得使用互联网跟帖服务。为保障您的帐号能够正常使用,请尽快对帐号进行手机号验证,感谢您的理解与支持!
24小时热门版块排行榜
>
论坛更新日志
(1948)
>
虫友互识
(55)
>
硕博家园
(50)
>
找工作
(44)
>
考博
(41)
>
公派出国
(40)
>
导师招生
(34)
>
博后之家
(34)
>
论文道贺祈福
(30)
>
基金申请
(28)
>
论文投稿
(28)
>
考研
(27)
>
休闲灌水
(23)
>
教师之家
(20)
>
文献求助
(15)
>
招聘信息布告栏
(12)
小木虫论坛-学术科研互动平台
»
专业学科区
»
机械
»
机械综合
»
【求助】急 急求 液压中 小孔阻尼 阻尼力 计算公式 ,力F与 速度V的关系式?40金币40
2
1/1
返回列表
查看: 1778 | 回复: 1
只看楼主
@他人
存档
新回复提醒
(忽略)
收藏
在APP中查看
509266024
铜虫
(小有名气)
应助: 0
(幼儿园)
金币: 193.2
帖子: 131
在线: 16.3小时
虫号: 1109987
[交流]
【求助】急 急求 液压中 小孔阻尼 阻尼力 计算公式 ,力F与 速度V的关系式?40金币40
求 液压中 小孔阻尼 阻尼力 计算公式 ,力F与 速度V的关系式?
[
Last edited by 509266024 on 2011-4-8 at 21:48
]
回复此楼
» 猜你喜欢
sci投稿求助
已经有5人回复
燕山大学机械工程学院Marian Wiercigroch院士团队招收2026年博士5人
已经有0人回复
工程热物理与能源利用论文润色/翻译怎么收费?
已经有216人回复
中国地质大学(北京)工程技术学院薛启龙课题组招收2026年博士生
已经有3人回复
招收硕,博士,博士后及联培:设备状态监测, 可靠性与维护,人工智能,图像处理
已经有0人回复
2026英国女王大学机械学院电池储能CSC全奖博士招聘
已经有10人回复
2026英国女王大学机械学院电池储能CSC全奖博士招聘
已经有1人回复
华南农业大学蒋恩臣教授、许细薇教授团队招聘生物质领域博士、硕士
已经有2人回复
粉末热压生坯代加工
已经有0人回复
已编辑
已经有4人回复
华中科技大学 煤燃烧全重 紧急招博士生报考 (1月19日截止)
已经有15人回复
高级回复
» 本主题相关价值贴推荐,对您同样有帮助:
急求一个有机合成问题,取代反应,请各位大虾帮忙!虫虫没有金币了,只散30个金币……
已经有11人回复
求助:BJH计算孔容和单点法计算孔容?
已经有7人回复
如何在ANSYS中模态分析完以后求阻尼呀
已经有12人回复
哪位高人有常用金属阻尼材料的性能对比
已经有3人回复
MS计算光学吸收谱
已经有4人回复
关于澳大利亚的可利用合作项目--紧急求助
已经有5人回复
金簇浓度的计算
已经有6人回复
如何求电子的速度
已经有4人回复
能用Scherrer公式计算纳米线或棒的长度吗?
已经有6人回复
【求助】自由基的能量计算
已经有13人回复
【求助】急求 电容器中关于功率密度的计算公式是什么
已经有4人回复
【求助】金属阻尼性能测试
已经有13人回复
【2010-7-11】【南宁,中国】CIS 2010计算智能与安全国际会议征文(SCI/EI/ISTP检索)
已经有4人回复
» 抢金币啦!回帖就可以得到:
查看全部散金贴
南京大学能源与资源学院-景旭东教授 (英国皇家工程院院士) 团队博士后招聘
+
1
/475
辽宁材料实验室高热通量框架复合材料方向招聘科研骨干2名
+
5
/355
南京大学智能驱动与感知材料实验室诚招硕士/科研助理
+
1
/277
柔性电子全国重点实验室(南邮)诚聘博士后(长期有效)
+
2
/124
深圳大学水科学中心HydroS课题组招收化学/环境相关专业博士生1名(2026年入学)
+
1
/84
哈尔滨工业大学王东博课题组/中科院上海微系统所梁丽娟课题组招收2026年博士生1名
+
1
/82
供应EXAKT德国艾卡特3D打印材料分散用三辊研磨机80E PLUS
+
1
/81
双一流南京医科大学招计算机、AI、统计、生物信息等方向26年9月入学博士
+
1
/76
成会明院士团队|钱希堂(国家青年人才)招博后啦!二维材料和固态电池
+
1
/76
上海交通大学任垭萌课题组招聘博士后
+
1
/73
锌离子混合电容器
+
1
/72
华中农大生物催化组招26年博士:代谢工程、酵母工程、药学、有机、酶工程、计算模拟
+
1
/34
智合健物课题组2026年博士生招生(湖北工业大学)
+
1
/33
26博士申请-药物化学方向
+
2
/28
南京林业大学木质纤维功能材料国际联合创新中心招收2026级博士生(申请-考核制)
+
2
/28
山东理工大学资源与环境工程学院陶东平教授课题组招收2026级博士研究生
+
1
/10
2026博士招生-上海大学先进耐火材料全国重点实验室-招收冶金工程博士研究生-1-2名
+
1
/8
博后找一个好老板把
+
1
/6
南京邮电大学材料科学与工程学院柔性电子研究所2026年招聘公告
+
1
/3
重庆大学诚招2026年生物材料方向博士生
+
1
/2
1楼
2011-04-07 21:32:15
已阅
回复此楼
关注TA
给TA发消息
送TA红花
TA的回帖
509266024
铜虫
(小有名气)
应助: 0
(幼儿园)
金币: 193.2
帖子: 131
在线: 16.3小时
虫号: 1109987
引用回帖:
Originally posted by
509266024
at 2011-04-07 21:32:15:
求 液压中 小孔阻尼 阻尼力 计算公式 ,力F与 速度V的关系式?100金币
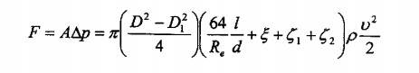
是这个公式吗?
[
Last edited by 509266024 on 2011-4-8 at 16:57
]
赞
一下
回复此楼
2楼
2011-04-08 16:40:35
已阅
回复此楼
关注TA
给TA发消息
送TA红花
TA的回帖
相关版块跳转
数理科学综合
机械
物理
数学
农林
食品
地学
能源
信息科学
土木建筑
航空航天
转基因
我要订阅楼主
509266024
的主题更新
2
1/1
返回列表
如果回帖内容含有宣传信息,请如实选中。否则帐号将被全论坛禁言
普通表情
龙
兔
虎
猫
高级回复
(可上传附件)
百度网盘
|
360云盘
|
千易网盘
|
华为网盘
在新窗口页面中打开自己喜欢的网盘网站,将文件上传后,然后将下载链接复制到帖子内容中就可以了。
信息提示
关闭
请填处理意见
关闭
确定