版块导航
正在加载中...
客户端APP下载
论文辅导
申博辅导
登录
注册
帖子
帖子
用户
本版
应《网络安全法》要求,自2017年10月1日起,未进行实名认证将不得使用互联网跟帖服务。为保障您的帐号能够正常使用,请尽快对帐号进行手机号验证,感谢您的理解与支持!
24小时热门版块排行榜
>
论坛更新日志
(3375)
>
虫友互识
(315)
>
文献求助
(305)
>
休闲灌水
(284)
>
导师招生
(205)
>
考博
(86)
>
招聘信息布告栏
(75)
>
硕博家园
(71)
>
博后之家
(61)
>
论文投稿
(61)
>
基金申请
(54)
>
考研
(42)
>
教师之家
(41)
>
公派出国
(30)
>
外文书籍求助
(25)
>
绿色求助(高悬赏)
(22)
小木虫论坛-学术科研互动平台
»
专业学科区
»
数学
»
应用数学与力学
»
【求助】principal value of 1/x?
2
1/1
返回列表
查看: 679 | 回复: 1
只看楼主
@他人
存档
新回复提醒
(忽略)
收藏
在APP中查看
litie
金虫
(正式写手)
应助: 0
(幼儿园)
金币: 835.7
帖子: 733
在线: 138.7小时
虫号: 560162
[交流]
【求助】principal value of 1/x?
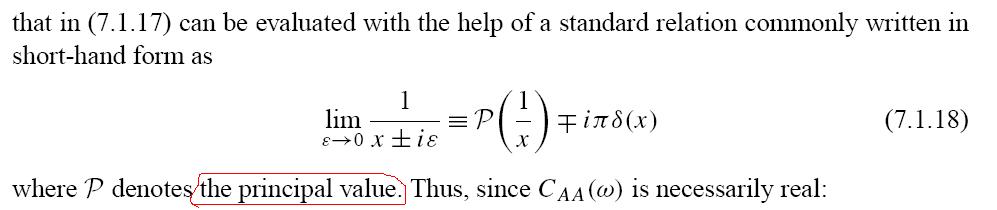
谁能帮忙解释下这里的principal value表示什么意思,从哪方面的书能找到下面这个公式?
非常感谢!
回复此楼
» 猜你喜欢
假如你的研究生提出不合理要求
已经有8人回复
萌生出自己或许不适合搞科研的想法,现在跑or等等看?
已经有4人回复
Materials Today Chemistry审稿周期
已经有4人回复
参与限项
已经有3人回复
实验室接单子
已经有4人回复
全日制(定向)博士
已经有4人回复
对氯苯硼酸纯化
已经有3人回复
求助:我三月中下旬出站,青基依托单位怎么办?
已经有12人回复
所感
已经有4人回复
要不要辞职读博?
已经有7人回复
高级回复
» 抢金币啦!回帖就可以得到:
查看全部散金贴
博士去军队文职怎么样
+
5
/145
原子层沉积(ALD)磁控溅射PECVD等微纳代工服务:18817872921
+
1
/82
上海交通大学任垭萌课题组招聘博士后
+
1
/79
中国石油大学(华东)电气工程专业博士研究生招生
+
1
/77
上海师范大学生物医用材料方向招收2026级博士研究生
+
1
/76
华中科技大学郭睿副教授建筑与能源科学课题组诚招博士研究生(2026.1.19截止)
+
1
/50
江西理工大学 稀土学院(发光材料与器件研究所) 招收2026届 材料类博士研究生 2名
+
2
/44
上海科技大学物质科学与技术学院|王平鸾课题组联合招聘博士后
+
1
/29
厦门大学航空航天学院智能制造课题组招2026年申请审核制博士生1-2名
+
1
/27
坐标济南,山东农科院招 有机合成 or 药物化学 联培硕士研究生
+
1
/23
华中科技大学袁书珊教授团队招2026年申请审核制博士生1-2名
+
1
/13
太原理工大学电工部招聘老师-偏电类专业的博士们快来看啊
+
1
/10
浙江大学化学系金一政课题组招聘科研助理
+
1
/10
香港中文大学(深圳)招聘半导体激光器测试/工艺 /封装/设计工程师
+
1
/10
北京航空航天大学国际创新学院智能系统与人形机器人国际研究中心博士后招聘
+
1
/5
中国科学院大学-杨晗课题组-诚聘-博士后、副研究员
+
1
/3
重庆医科大学-药学院-新靶标教育部医药基础研究创新中心-药物化学2026年博士招生
+
1
/3
[招募] 上海交通大学环境健康课题组科研实习生(环境健康与生物学大数据方向)
+
1
/1
中国科学院大学-杨晗课题组-诚聘-博士后、副研究员
+
1
/1
澳门科技大学诚招纳米/水凝胶生物材料方向博士研究生(2026年秋季入学)
+
1
/1
1楼
2011-04-02 19:45:53
已阅
回复此楼
关注TA
给TA发消息
送TA红花
TA的回帖
just_play
至尊木虫
(正式写手)
数学EPI: 12
应助: 6
(幼儿园)
贵宾: 0.1
金币: 11813.8
帖子: 688
在线: 667.1小时
虫号: 837886
litie(金币+10): 非常感谢! 2011-04-03 10:33:43
柯西主值,看看数理方法的书吧,此帖可能会有点帮助:
http://muchong.com/bbs/viewthread.php?tid=2966036
赞
一下
回复此楼
2楼
2011-04-02 22:59:24
已阅
回复此楼
关注TA
给TA发消息
送TA红花
TA的回帖
相关版块跳转
数理科学综合
机械
物理
数学
农林
食品
地学
能源
信息科学
土木建筑
航空航天
转基因
我要订阅楼主
litie
的主题更新
2
1/1
返回列表
如果回帖内容含有宣传信息,请如实选中。否则帐号将被全论坛禁言
普通表情
龙
兔
虎
猫
高级回复
(可上传附件)
百度网盘
|
360云盘
|
千易网盘
|
华为网盘
在新窗口页面中打开自己喜欢的网盘网站,将文件上传后,然后将下载链接复制到帖子内容中就可以了。
信息提示
关闭
请填处理意见
关闭
确定