版块导航
正在加载中...
客户端APP下载
论文辅导
申博辅导
登录
注册
帖子
帖子
用户
本版
应《网络安全法》要求,自2017年10月1日起,未进行实名认证将不得使用互联网跟帖服务。为保障您的帐号能够正常使用,请尽快对帐号进行手机号验证,感谢您的理解与支持!
24小时热门版块排行榜
>
论坛更新日志
(3532)
>
虫友互识
(741)
>
论文投稿
(256)
>
休闲灌水
(210)
>
导师招生
(154)
>
基金申请
(143)
>
文献求助
(128)
>
硕博家园
(85)
>
公派出国
(71)
>
博后之家
(66)
>
考博
(66)
>
教师之家
(58)
>
考研
(51)
>
论文道贺祈福
(41)
>
招聘信息布告栏
(35)
>
找工作
(33)
小木虫论坛-学术科研互动平台
»
专业学科区
»
数学
»
计算数学
»
【求助】有关柯西主值
10
1/1
返回列表
查看: 2321 | 回复: 9
只看楼主
@他人
存档
新回复提醒
(忽略)
收藏
在APP中查看
wbjhpp
金虫
(初入文坛)
应助: 0
(幼儿园)
金币: 935.4
帖子: 28
在线: 7小时
虫号: 1114459
[交流]
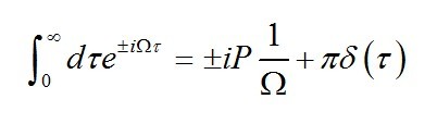
【求助】有关柯西主值
[img]http://latex.codecogs.com/gif.latex?\int_{0}^{+\infty}e^{\pm&space;i\Omega&space;\tau&space;}d\tau&space;=\pm&space;iP\frac{1}{\Omega&space;}+\pi&space;\delta&space;\left&space;(&space;\Omega&space;\right&space
[\img]
式中的P表示柯西主值,请问这个P应该是多少?
回复此楼
» 猜你喜欢
求个博导看看
已经有16人回复
想换工作。大多数高校都是 评职称时 认可5年内在原单位取得的成果吗?
已经有8人回复
上海工程技术大学张培磊教授团队招收博士生
已经有4人回复
上海工程技术大学【激光智能制造】课题组招收硕士
已经有5人回复
求助院士们,这个如何合成呀
已经有4人回复
临港实验室与上科大联培博士招生1名
已经有9人回复
需要合成515-64-0,50g,能接单的留言
已经有4人回复
自荐读博
已经有4人回复
写了一篇“相变储能技术在冷库中应用”的论文,论文内容以实验为主,投什么期刊合适?
已经有6人回复
带资进组求博导收留
已经有10人回复
高级回复
» 抢金币啦!回帖就可以得到:
查看全部散金贴
深圳市人民医院活性天然产物研究方向诚招联合培养硕士生2-3
+
1
/271
湖南师范大学医工交叉科研团队招收博士研究生
+
1
/175
江苏科技大学能源材料化学课题组张俊豪教授招收博士研究生1-2名
+
1
/91
Analytical Science Advances 持续征稿中
+
1
/81
Analytical Science Advances(Wiley出版社)长期征稿中...
+
1
/81
Analytical Science Advances(Wiley出版社)长期征稿中...
+
1
/35
暨南大学理工学院 光子技术研究院段宣明团队申请制读博招生
+
1
/30
南科大夏海平院士-深大张平玉课题组联合招聘博士后
+
1
/28
大叔征婚
+
1
/28
复旦大学聂志鸿团队招聘聚电解质方向博士后和科研助理
+
1
/21
博士生招生, 南京大学材料物理
+
1
/20
重庆大学杰青团队诚招2026年博士研究生
+
2
/18
重庆大学前沿院,黄小洋教授课题组,招收2026年非均相催化方向学术博士2名
+
1
/13
武汉大学郭宇铮教授课题组招收博士后等研究人员【先进封装/芯片/人工智能等方向】
+
1
/7
有多余纯化系统,20-200mm高压制备分离系统,配套齐全可对外代工、委托加工、项目合作
+
1
/4
博士后网站系统登录
+
1
/4
南京林业大学”申请-考核”制学术学位博士研究生招生
+
1
/3
中科院精密测量院(原武汉物数所)诚招磁共振成像方向申请考核制博士(2026.1.9截止)
+
1
/2
河南师范大学植物生殖生物学科研团队博士招聘
+
1
/1
海南大学!海洋与极地地质团队长期招收博士和博士后
+
1
/1
1楼
2011-03-16 12:44:35
已阅
回复此楼
关注TA
给TA发消息
送TA红花
TA的回帖
bluesine
铁杆木虫
(职业作家)
数学EPI: 5
应助: 132
(高中生)
贵宾: 1.991
金币: 9549.5
帖子: 3546
在线: 371.7小时
虫号: 869544
wbjhpp(金币+1): 帮忙解决一下,谢谢啦 2011-03-17 16:38:16
看不到。。。
回复此楼
2楼
2011-03-16 22:39:44
已阅
回复此楼
关注TA
给TA发消息
送TA红花
TA的回帖
wbjhpp
金虫
(初入文坛)
应助: 0
(幼儿园)
金币: 935.4
帖子: 28
在线: 7小时
虫号: 1114459
公式
引用回帖:
Originally posted by
bluesine
at 2011-03-16 22:39:44:
看不到。。。
就是这个公式,不知道可不可以看到!式中的P表示柯西主值,请问这个值是多少?谢谢!
赞
一下
回复此楼
3楼
2011-03-17 08:01:40
已阅
回复此楼
关注TA
给TA发消息
送TA红花
TA的回帖
just_play
至尊木虫
(正式写手)
数学EPI: 12
应助: 6
(幼儿园)
贵宾: 0.1
金币: 11813.8
帖子: 688
在线: 667.1小时
虫号: 837886
★
wbjhpp(金币
+1
):谢谢参与
wbjhpp(金币+5): 非常感谢! 2011-03-18 16:02:40
引用回帖:
Originally posted by
wbjhpp
at 2011-03-17 08:01:40:
就是这个公式,不知道可不可以看到!式中的P表示柯西主值,请问这个值是多少?谢谢!
赞
一下
(1人)
回复此楼
4楼
2011-03-18 12:51:54
已阅
回复此楼
关注TA
给TA发消息
送TA红花
TA的回帖
龙游天下
禁虫
(正式写手)
★
wbjhpp(金币
+1
):谢谢参与
本帖内容被屏蔽
6楼
2011-03-20 14:55:32
已阅
回复此楼
关注TA
给TA发消息
送TA红花
TA的回帖
litie
金虫
(正式写手)
应助: 0
(幼儿园)
金币: 835.7
帖子: 733
在线: 138.7小时
虫号: 560162
★
wbjhpp(金币
+1
):谢谢参与
引用回帖:
Originally posted by
just_play
at 2011-03-18 12:51:54:
这里面的推导有几步我不是很明白,从一些书上也找不到,能否帮忙解释一下,或者列出一些参考书名?非常感谢您!
[
Last edited by litie on 2011-4-4 at 09:55
]
赞
一下
(1人)
回复此楼
7楼
2011-04-03 19:11:13
已阅
回复此楼
关注TA
给TA发消息
送TA红花
TA的回帖
litie
金虫
(正式写手)
应助: 0
(幼儿园)
金币: 835.7
帖子: 733
在线: 138.7小时
虫号: 560162
wbjhpp(金币+5): 2011-04-05 08:06:00
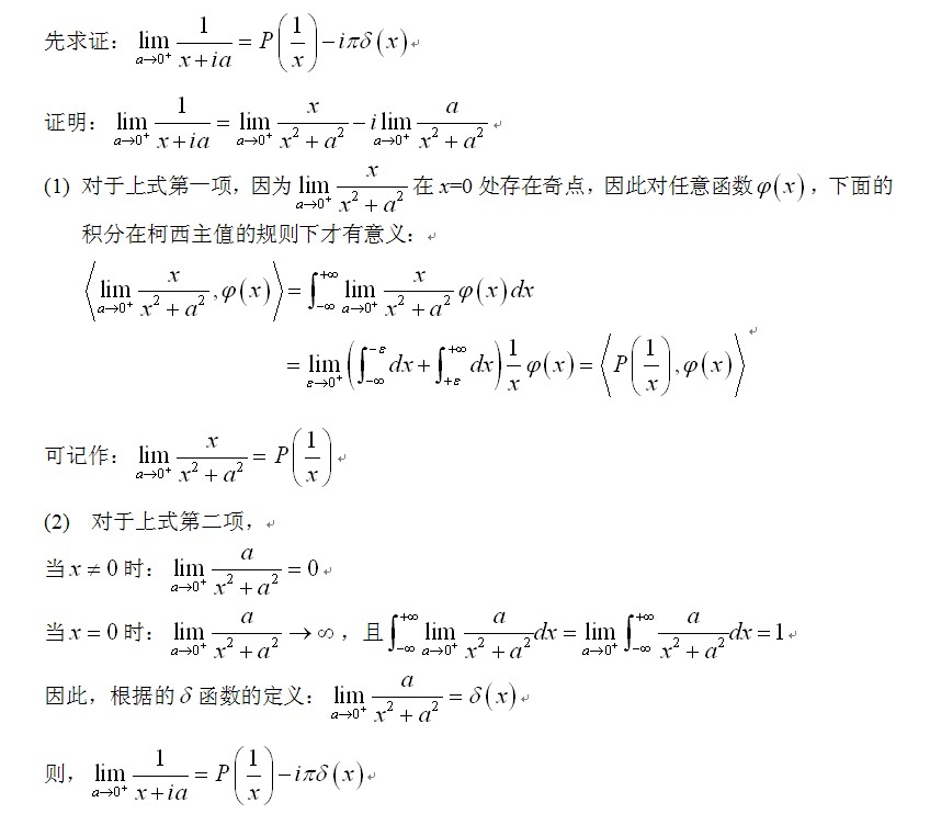
正好我也遇到这方面的问题,下面我的推导,不知道对不对。
赞
一下
回复此楼
8楼
2011-04-04 09:51:21
已阅
回复此楼
关注TA
给TA发消息
送TA红花
TA的回帖
summerfox008
新虫
(正式写手)
应助: 1
(幼儿园)
金币: 21.8
帖子: 360
在线: 146.3小时
虫号: 4141276
★
wbjhpp(金币+1): 谢谢参与
你好,我也遇到了类似的问题,请问你明白了么?
赞
一下
回复此楼
10楼
2016-04-19 21:07:07
已阅
回复此楼
关注TA
给TA发消息
送TA红花
TA的回帖
简单回复
mouxiaomin
5楼
2011-03-18 17:03
回复
wbjhpp(金币
+1
):谢谢参与
wbjhpp
9楼
2011-10-30 09:38
回复
相关版块跳转
数理科学综合
机械
物理
数学
农林
食品
地学
能源
信息科学
土木建筑
航空航天
转基因
我要订阅楼主
wbjhpp
的主题更新
10
1/1
返回列表
如果回帖内容含有宣传信息,请如实选中。否则帐号将被全论坛禁言
普通表情
龙
兔
虎
猫
高级回复
(可上传附件)
百度网盘
|
360云盘
|
千易网盘
|
华为网盘
在新窗口页面中打开自己喜欢的网盘网站,将文件上传后,然后将下载链接复制到帖子内容中就可以了。
信息提示
关闭
请填处理意见
关闭
确定