| ²é¿´: 578 | »Ø¸´: 1 | ||
zyl941150½ð³æ (СÓÐÃûÆø)
|
[½»Á÷]
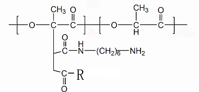
¡¾ÇóÖú¡¿ºË´ÅÇâÆ×ͼ·ÖÎö ÒÑÓÐ1È˲ÎÓë
|
zyl941150
½ð³æ (СÓÐÃûÆø)
- Ó¦Öú: 0 (Ó×¶ùÔ°)
- ½ð±Ò: 614.9
- Ìû×Ó: 171
- ÔÚÏß: 29.5Сʱ
- ³æºÅ: 650299
- ×¢²á: 2008-11-09
- רҵ: ÉúÎï²ÄÁÏ
2Â¥2011-04-01 11:52:55













»Ø¸´´ËÂ¥
10