²é¿´: 628  |  »Ø¸´: 3
µ±Ç°Ö»ÏÔʾÂú×ãÖ¸¶¨Ìõ¼þµÄ»ØÌû£¬µã»÷ÕâÀï²é¿´±¾»°ÌâµÄËùÓлØÌû

muchong5577

½ð³æ (ÕýʽдÊÖ)


[½»Á÷] ¡¾ÇóÖú/½»Á÷¡¿Çë½ÌÒ»¸ö¹ØÓÚhis-tagµÄÎÊÌâ

×é°±ËáÊÇ´øÕýµç£¬NIÀë×ÓÒ²ÊÇÕýµç£¬ËûÃÇÖ®¼äÔõôÇ׺ͣ¿
his-tag´¿»¯µÄÔ­ÀíÊÇʲô£¿ÎªÊ²Ã´×é°±Ëá²Ð»ùµÄÎåÔªßäßò»·Êǵ°°×ÓëNiÀë×Ó×÷ÓõĹؼü£¿
лл´ó¼ÒÁË¡£

[ Last edited by muchong5577 on 2011-3-29 at 17:45 ]
»Ø¸´´ËÂ¥

» ²ÂÄãϲ»¶

» ±¾Ö÷ÌâÏà¹Ø¼ÛÖµÌùÍÆ¼ö£¬¶ÔÄúͬÑùÓаïÖú:

» ÇÀ½ð±ÒÀ²£¡»ØÌû¾Í¿ÉÒԵõ½:

²é¿´È«²¿É¢½ðÌù

ÒÑÔÄ   »Ø¸´´ËÂ¥   ¹Ø×¢TA ¸øTA·¢ÏûÏ¢ ËÍTAºì»¨ TAµÄ»ØÌû

muchong5577

½ð³æ (ÕýʽдÊÖ)


ÒýÓûØÌû:
Originally posted by ls2046 at 2011-03-29 19:20:52:
ÎÒ¾õµÃÕâ¸öÎÊÌâBaidu¾Í¿ÉÒԸ㶨

°Ù¶ÈµÄ½âÊͺܷôdz£¬ÎÒ»¹ÊǸ㲻¶®Ô­Àí
3Â¥2011-03-29 19:51:40
ÒÑÔÄ   »Ø¸´´ËÂ¥   ¹Ø×¢TA ¸øTA·¢ÏûÏ¢ ËÍTAºì»¨ TAµÄ»ØÌû
²é¿´È«²¿ 4 ¸ö»Ø´ð

ls2046

Ìú¸Ëľ³æ (Ö°Òµ×÷¼Ò)


ÎÒ¾õµÃÕâ¸öÎÊÌâBaidu¾Í¿ÉÒԸ㶨
2Â¥2011-03-29 19:20:52
ÒÑÔÄ   »Ø¸´´ËÂ¥   ¹Ø×¢TA ¸øTA·¢ÏûÏ¢ ËÍTAºì»¨ TAµÄ»ØÌû
¡ï ¡ï
lstt09nk(½ð±Ò+2): ÈÈÐÄ~~ 2011-03-29 22:43:03
muchong5577(½ð±Ò+5): Ì«ºÃÁË Ð»Ð»Äú 2011-03-29 22:49:52
ÒýÓûØÌû:
Originally posted by muchong5577 at 2011-03-29 19:51:40:
°Ù¶ÈµÄ½âÊͺܷôdz£¬ÎÒ»¹ÊǸ㲻¶®Ô­Àí

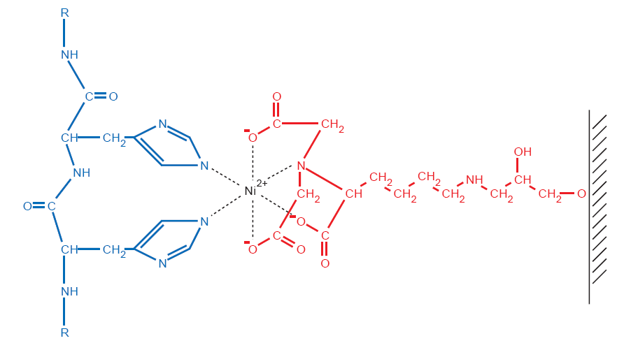
ºÇºÇ£¬¸øÄãÉϸöͼ¾Íɶ¶¼Ã÷°×ÁË¡£

ºìµÄÊÇNTA£¬ÐéÏßÊÇNickel ion£¬ À¶É«ÊÇ ployHis

4Â¥2011-03-29 20:46:26
ÒÑÔÄ   »Ø¸´´ËÂ¥   ¹Ø×¢TA ¸øTA·¢ÏûÏ¢ ËÍTAºì»¨ TAµÄ»ØÌû
×î¾ßÈËÆøÈÈÌûÍÆ¼ö [²é¿´È«²¿] ×÷Õß »Ø/¿´ ×îºó·¢±í
[¿¼ÑÐ] »¯Ñ§¹¤³Ì321·ÖÇóµ÷¼Á +10 ´óÃ×·¹£¡ 2026-03-15 13/650 2026-03-17 06:57 by laoshidan
[ÎÄѧ·¼²ÝÔ°] »ï°éÃÇ£¬×£ÎÒÉúÈÕ¿ìÀÖ°É +17 myrtle 2026-03-10 26/1300 2026-03-16 18:32 by Çà³ÈLn
[¿¼ÑÐ] Ò»Ö¾Ô¸ËÕÖÝ´óѧ²ÄÁϹ¤³Ì£¨085601£©×¨Ë¶ÓпÆÑо­ÀúÈýÏî¹ú½±Á½¸öʵÓÃÐÍרÀûÒ»ÏîÊ¡¼¶Á¢Ïî +3 ´ó»ðɽС»ðɽ 2026-03-16 5/250 2026-03-16 16:54 by barlinike
[¿¼ÑÐ] ±¾ÈË¿¼085602 »¯Ñ§¹¤³Ì ר˶ +12 ²»ÖªµÀ½Ðʲô£¡ 2026-03-15 14/700 2026-03-16 16:45 by ÎҵĴ¬Îҵĺ£
[¿¼ÑÐ] 311Çóµ÷¼Á +5 26ÑÐ0 2026-03-15 5/250 2026-03-16 16:21 by a²»Ò×
[¿¼ÑÐ] ²ÄÁÏÓ뻯¹¤Çóµ÷¼Á +3 Ϊѧ666 2026-03-16 3/150 2026-03-16 15:09 by ¼ÓºÅ+
[¿¼ÑÐ] 0703 ÎïÀí»¯Ñ§µ÷¼Á +3 ÎÒ¿ÉÒÔÉϰ¶µÄ¶Ô 2026-03-13 5/250 2026-03-16 10:50 by ÎÒ¿ÉÒÔÉϰ¶µÄ¶ÔÂ
[¿¼ÑÐ] 308Çóµ÷¼Á +3 ÊÇLupa°¡ 2026-03-16 3/150 2026-03-16 10:07 by Çóµ÷¼Ázz
[˶²©¼ÒÔ°] ÉîÛÚ´óѧ˶ʿÕÐÉú£¨2026Ç´«¸ÐÆ÷·½Ïò£¬½ö¼ȡµÚÒ»Ö¾Ô¸£© +4 xujiaoszu 2026-03-11 8/400 2026-03-16 09:45 by xujiaoszu
[¿¼ÑÐ] Öпƴó²ÄÁÏÓ뻯¹¤319Çóµ÷¼Á +3 ÃÏöβÄÁÏ 2026-03-14 3/150 2026-03-14 20:10 by ms629
[¿¼ÑÐ] 289Çóµ÷¼Á +4 ÕâôÃû×ÖÕ¦Ñù 2026-03-14 6/300 2026-03-14 18:58 by userper
[¿¼ÑÐ] 290Çóµ÷¼Á +4 @½«¾Í½«¾Í¿´ 2026-03-10 8/400 2026-03-14 14:23 by ǧǧÔËÆø
[¿¼ÑÐ] Ò»Ö¾Ô¸ºþʦ´ó»¯Ñ§289Çóµ÷¼Á +6 XMCMM3.14159 2026-03-10 6/300 2026-03-14 00:28 by JourneyLucky
[¿¼ÑÐ] 311Çóµ÷¼Á +5 Å£ÈéÌǵĿ¨¿¨ 2026-03-10 5/250 2026-03-14 00:05 by JourneyLucky
[¿¼ÑÐ] 311Çóµ÷¼Á +8 zchqwer 2026-03-10 8/400 2026-03-14 00:01 by JourneyLucky
[¿¼ÑÐ] Çóµ÷¼Á£¨²ÄÁÏÓ뻯¹¤327£© +4 °®³ÔÏã²ËÀ² 2026-03-11 4/200 2026-03-13 22:11 by JourneyLucky
[¿¼ÑÐ] Çó²ÄÁϵ÷¼Á 085600Ó¢Ò»Êý¶þ×Ü·Ö302 ǰÈý¿Æ235 ¾«Í¨»úÆ÷ѧϰ Ò»Ö¾Ô¸¹þ¹¤´ó +4 ÁÖyaxin 2026-03-12 4/200 2026-03-13 22:04 by ÐÇ¿ÕÐÇÔÂ
[¿¼ÑÐ] 333Çóµ÷¼Á +3 ÇòÇò¹ÅÁ¦ 2026-03-11 3/150 2026-03-13 21:27 by JourneyLucky
[¿¼ÑÐ] ²ÄÁϹ¤³Ìµ÷¼Á +4 ßäßä¿Õ¿Õ 2026-03-11 4/200 2026-03-13 19:57 by JourneyLucky
[¿¼ÑÐ] 283Çóµ÷¼Á£¬²ÄÁÏ¡¢»¯¹¤½Ô¿É +8 ËÕ´òË®7777 2026-03-11 10/500 2026-03-13 09:06 by Linda Hu
ÐÅÏ¢Ìáʾ
ÇëÌî´¦ÀíÒâ¼û