| 查看: 623 | 回复: 2 | |||
[交流]
【求助】关于一致收敛
|
|
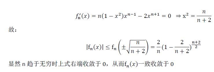
怎么证明 fn = [1-x^2](x)^n 在 [-1,1] 上 一致收敛? fn ---->0 很明显,但是怎么证明一致性啊? |
» 猜你喜欢
职称评审没过,求安慰
已经有64人回复
带资进组求博导收留
已经有8人回复
26申博自荐
已经有4人回复
最近几年招的学生写论文不引自己组发的文章
已经有8人回复
A期刊撤稿
已经有4人回复
» 抢金币啦!回帖就可以得到:
【CSC招生】拉瓦尔大学流体力学博士项目
+3/201
复旦大学化学系杰青/优青团队诚聘博士后
+3/150
新加坡国立大学张阳教授课题组招聘博士后(AI与生物医学方向)
+1/125
接样SEM/XPS/XRD/FTIR/BET等多种测试/提供预存服务
+1/86
Analytical Science Advances 持续征稿中
+1/84
【高温摩擦磨损试验机】接样/预存款服务
+1/83
天津大学化学系吴立朋课题组申请考核制博士招生/博后招聘
+1/81
天津大学化学系吴立朋课题组申请考核制博士招生/博后招聘
+1/80
诚聘生物有化学方向博士后
+1/77
重庆大学杰青团队诚招2026年博士研究生
+2/36
博士后招聘
+1/27
玩个游戏吧
+2/18
山东大学集成电路学院博士招生1名
+1/14
天津大学化学系吴立朋课题组申请考核制博士招生/博后招聘
+1/10
招收2026级博士
+1/8
新加坡南洋理工大学材料科学与工程学院招收博士研究生 (2026年8月入学)
+1/6
同济大学电信学院,肖李课题组预招2027春季与秋季博士生。
+1/3
北京师范大学与企业联合招聘博士后、全职、兼职人员
+1/3
山东大学集成电路学院博士招生1名
+1/3
诚招“先进材料与柔性电子(柔性储能或柔性天线)”方向联培博士生
+1/2
2楼2011-03-24 00:19:51
3楼2011-03-24 00:42:52













回复此楼