²é¿´: 871  |  »Ø¸´: 2

smilech

гæ (СÓÐÃûÆø)


[½»Á÷] ¡¾ÇóÖú¡¿BET·¨¼ÆËã·ÖÐÎάÊý

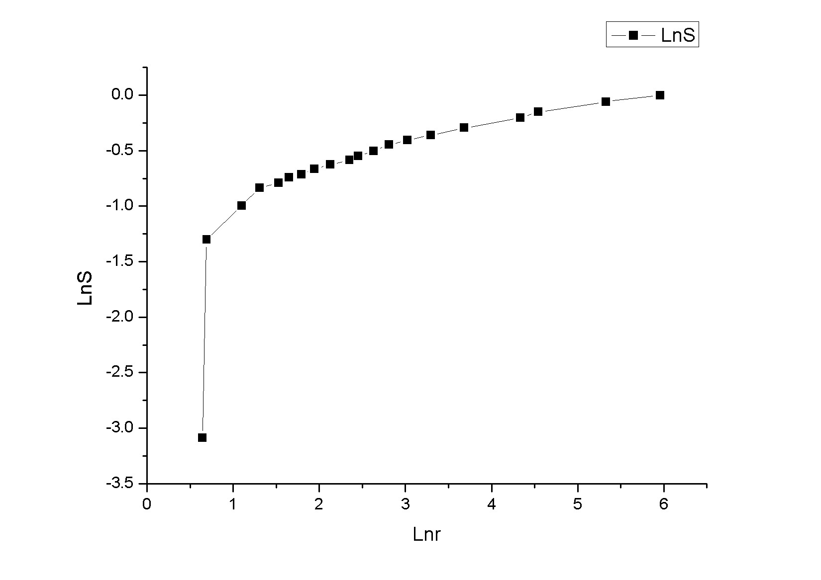
¸÷λ´óÏÀÓÐ×öBETµªÎü¸½¼ÆËã²ÄÁÏ·ÖÐÎάÊýµÄÂð£¿ÎÒ×öÁËÁ½¸ö£¬Í¼ÖÐSΪ¿×¾¶Ð¡ÓÚrµÄ¿×϶µÄÀÛ»ý¿×ÈÝ·ÖÊý£¬´ó¼Ò°ïÎÒ¿´¿´ÔõÑù£¬µÚÒ»¸öÊÇÖ²ÎïÏËά£¬µÚ¶þ¸öÊÇÌìÈ»·Ðʯ£¬Ð»Ð»


»Ø¸´´ËÂ¥

» ²ÂÄãϲ»¶

» ±¾Ö÷ÌâÏà¹ØÉ̼ÒÍÆ¼ö: (ÎÒÒ²ÒªÔÚÕâÀïÍÆ¹ã)

» ±¾Ö÷ÌâÏà¹Ø¼ÛÖµÌùÍÆ¼ö£¬¶ÔÄúͬÑùÓаïÖú:

» ÇÀ½ð±ÒÀ²£¡»ØÌû¾Í¿ÉÒԵõ½:

²é¿´È«²¿É¢½ðÌù

ÒÑÔÄ   »Ø¸´´ËÂ¥   ¹Ø×¢TA ¸øTA·¢ÏûÏ¢ ËÍTAºì»¨ TAµÄ»ØÌû

ÐÇÆ»¹û

Òø³æ (ÕýʽдÊÖ)


¡ï
Сľ³æ(½ð±Ò+0.5):¸ø¸öºì°ü£¬Ð»Ð»»ØÌû
°ï¶¥Ò»Ï£¬ÎÒÒ²ºÜÏëÖªµÀÄØ
2Â¥2011-05-26 17:11:26
ÒÑÔÄ   »Ø¸´´ËÂ¥   ¹Ø×¢TA ¸øTA·¢ÏûÏ¢ ËÍTAºì»¨ TAµÄ»ØÌû

À¶É«É¼Ä¾

гæ (³õÈëÎÄ̳)


¡ï
Сľ³æ(½ð±Ò+0.5):¸ø¸öºì°ü£¬Ð»Ð»»ØÌû
Æäʵ£¬ÎÒÒ²ºÜÏëÖªµÀ£¬ÔõôÓÃBETËã·ÖÐΰ¡
3Â¥2011-07-11 09:01:19
ÒÑÔÄ   »Ø¸´´ËÂ¥   ¹Ø×¢TA ¸øTA·¢ÏûÏ¢ ËÍTAºì»¨ TAµÄ»ØÌû
Ïà¹Ø°æ¿éÌø×ª ÎÒÒª¶©ÔÄÂ¥Ö÷ smilech µÄÖ÷Ìâ¸üÐÂ
×î¾ßÈËÆøÈÈÌûÍÆ¼ö [²é¿´È«²¿] ×÷Õß »Ø/¿´ ×îºó·¢±í
[¿¼ÑÐ] Çóµ÷¼ÁԺУÐÅÏ¢ +4 CX 330 2026-03-21 4/200 2026-03-21 23:48 by ms629
[¿¼ÑÐ] 326Çóµ÷¼Á +5 ŵ±´¶û»¯Ñ§½±êéê 2026-03-15 8/400 2026-03-21 19:33 by ColorlessPI
[¿¼ÑÐ] ²ÄÁÏÓ뻯¹¤£¨0856£©304ÇóBÇøµ÷¼Á +3 Çñgl 2026-03-20 7/350 2026-03-21 19:05 by 15709483992
[¿¼ÑÐ] 0805 316Çóµ÷¼Á +3 ´óÑ©Éî²Ø 2026-03-18 3/150 2026-03-21 18:55 by ѧԱ8dgXkO
[¿¼ÑÐ] 0703»¯Ñ§297Çóµ÷¼Á +3 Daisy¡î 2026-03-20 3/150 2026-03-21 17:45 by ColorlessPI
[¿¼ÑÐ] 298Çóµ÷¼Á +4 Éϰ¶6666@ 2026-03-20 4/200 2026-03-21 17:14 by ѧԱ8dgXkO
[¿¼ÑÐ] 22 350 ±¾¿Æ985Çóµ÷¼Á£¬ÇóÀϵÇÊÕÁô +3 ÀîéóÄÐ003 2026-03-20 3/150 2026-03-21 13:28 by ²«»÷518
[¿¼ÑÐ] 330Çóµ÷¼Á0854 +3 assdll 2026-03-21 3/150 2026-03-21 13:01 by ²«»÷518
[¿¼ÑÐ] 0856²ÄÁÏר˶353Çóµ÷¼Á +3 NIFFFfff 2026-03-20 3/150 2026-03-21 10:23 by luoyongfeng
[¿¼ÑÐ] 310Çóµ÷¼Á +3 baibai1314 2026-03-16 3/150 2026-03-21 03:56 by JourneyLucky
[¿¼ÑÐ] Ò»Ö¾Ô¸Ìì½ò´óѧ»¯Ñ§¹¤ÒÕרҵ£¨081702£©315·ÖÇóµ÷¼Á +12 yangfz 2026-03-17 12/600 2026-03-21 03:30 by JourneyLucky
[¿¼ÑÐ] Ò»Ö¾Ô¸ÖйúʯÓÍ´óѧ£¨»ª¶«£© ±¾¿ÆÆë³¹¤Òµ´óѧ +3 ʯÄÜΰ 2026-03-17 3/150 2026-03-21 02:22 by JourneyLucky
[¿¼ÑÐ] 319Çóµ÷¼Á +3 СÁ¦Æøçæçæ 2026-03-20 3/150 2026-03-20 19:47 by JourneyLucky
[¿¼ÑÐ] Ò»Ö¾Ô¸Öйúº£Ñó´óѧ£¬ÉúÎïѧ£¬301·Ö£¬Çóµ÷¼Á +5 1ËïÎò¿Õ 2026-03-17 6/300 2026-03-19 23:46 by zcl123
[¿¼ÑÐ] 320Çóµ÷¼Á0856 +3 ²»ÏëÆðÃû×Ö112 2026-03-19 3/150 2026-03-19 22:53 by ѧԱ8dgXkO
[¿¼ÑÐ] 0703»¯Ñ§µ÷¼Á +4 18889395102 2026-03-18 4/200 2026-03-19 16:13 by 30660438
[¿¼ÑÐ] 085601²ÄÁϹ¤³Ìר˶Çóµ÷¼Á +10 Ľº®mio 2026-03-16 10/500 2026-03-19 15:26 by ¶¡¶¡*
[¿¼ÑÐ] 286Çóµ÷¼Á +6 lemonzzn 2026-03-16 10/500 2026-03-19 14:31 by lemonzzn
[¿¼ÑÐ] 290Çóµ÷¼Á +3 p asserby. 2026-03-15 4/200 2026-03-17 16:35 by wangkm
[¿¼ÑÐ] Ò»Ö¾Ô¸ËÕÖÝ´óѧ²ÄÁϹ¤³Ì£¨085601£©×¨Ë¶ÓпÆÑо­ÀúÈýÏî¹ú½±Á½¸öʵÓÃÐÍרÀûÒ»ÏîÊ¡¼¶Á¢Ïî +6 ´ó»ðɽС»ðɽ 2026-03-16 8/400 2026-03-17 15:05 by ÎÞи¿É»÷111
ÐÅÏ¢Ìáʾ
ÇëÌî´¦ÀíÒâ¼û