±±¾©Ê¯ÓÍ»¯¹¤Ñ§Ôº2026ÄêÑо¿ÉúÕÐÉú½ÓÊÕµ÷¼Á¹«¸æ
²é¿´: 1837  |  »Ø¸´: 4
±¾Ìû²úÉú 1 ¸ö ²©Ñ§EPI £¬µã»÷ÕâÀï½øÐв鿴

°ÁÄä˼µÛ

ľ³æ (СÓÐÃûÆø)


[½»Á÷] ÈÈÁ¦Ñ§Ö¤Ã÷Ì⣨ÈÈÁ¦Ñ§¸ßÊÖ½ø£©

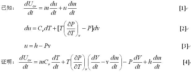
ÕâÊÇÒ»¸ö¹ØÓÚÄÜÁ¿ÊغãµÄÖ¤Ã÷Ì⣬¹¤ÖÊΪʵ¼ÊÆøÌ壬UΪÈÈÁ¦Ñ§ÄÜ£¬uΪ±ÈÈÈÁ¦Ñ§ÄÜ£¬mΪÖÊÁ¿£¬hΪìÊ£¬VΪÌå»ý£¬vΪ±ÈÌå»ý£¬TΪζȣ¬tΪʱ¼ä£¬PΪѹÁ¦£¬CvΪ¶¨ÈݱÈÈÈ¡£

¶¥ÌûÊÓÇé¿ö½±Àø£¬Óкý¨ÒéµÄ½±2½ð±Ò£¬½â´ðÍê³É½±È«²¿½ð±Ò

[ Last edited by °ÁÄä˼µÛ on 2011-3-1 at 09:55 ]
»Ø¸´´ËÂ¥

» ²ÂÄãϲ»¶

» ±¾Ö÷ÌâÏà¹Ø¼ÛÖµÌùÍÆ¼ö£¬¶ÔÄúͬÑùÓаïÖú:

» ÇÀ½ð±ÒÀ²£¡»ØÌû¾Í¿ÉÒԵõ½:

²é¿´È«²¿É¢½ðÌù

ÒÑÔÄ   ¹Ø×¢TA ¸øTA·¢ÏûÏ¢ ËÍTAºì»¨ TAµÄ»ØÌû
°ÁÄä˼µÛ(½ð±Ò+1, ²©Ñ§EPI+1): ºÇºÇ 2011-03-02 10:00:30
¶¥ÌûÊÓÇé¿ö½±Àø£¬ºÇºÇ °ï¶¥~~ ÕâЩÈÈÁ¦Ñ§µÄºÃ¾Ãû×ö¹ýÁË~~
2Â¥2011-03-01 10:43:04
ÒÑÔÄ   ¹Ø×¢TA ¸øTA·¢ÏûÏ¢ ËÍTAºì»¨ TAµÄ»ØÌû
Õâ¸öÎÒ¿ÉÒÔ×ö£¬µ«´ò½øÈ¥Ì«Âé·³À²£¬Óеã·ÑÊ£¬°¥£¬²»ºÃÒâ˼
3Â¥2011-03-02 19:03:42
ÒÑÔÄ   ¹Ø×¢TA ¸øTA·¢ÏûÏ¢ ËÍTAºì»¨ TAµÄ»ØÌû
°ÁÄä˼µÛ(½ð±Ò+3): ÎÒÒ²Ìá²»³ö£¬ËùÒÔÇë¸ßÊÖ³öÀ´×ö°¡ 2011-03-02 23:36:56
»ù±¾¾ÍÊÇ·Ö±ð°ÑduºÍu´úµ½µÚÒ»¸öʽÖС£µ«ÊÇvºÍVµÄ¹ØÏµÓеã¾À½á£¬ËùÒÔÌá²»³öT(dP/dT)³öÀ´~
4Â¥2011-03-02 23:34:31
ÒÑÔÄ   ¹Ø×¢TA ¸øTA·¢ÏûÏ¢ ËÍTAºì»¨ TAµÄ»ØÌû

°ÁÄä˼µÛ

ľ³æ (СÓÐÃûÆø)


ÎÒÊÇÏȰѹ«Ê½Ð´ÔÚwordÉÏ£¬È»ºóÓÃͼƬճÉÏÀ´µÄ£¬Èç¹ûÄã²»ºÃ·¢Ôڻظ´ÉÏ£¬¿ÉÒÔ·¢µ½ÎÒµÄÓÊÏ䣺xiaogenfu@163.com,Ò²¿ÉÒ԰ѹؼü²½Öè¸æËßÎÒ¡£
ÎÒÒ²×ÐÏ¸ÍÆµ¼ÁË£¬¾õµÃÒª
P=T(dP/dT)
³ÉÁ¢²ÅÄÜÍÆ³öÀ´£¬µ«ÊÇÓÖ¾õµÃ
P=T(dP/dT)
ËäÈ»¶ÔÀíÏëÆøÌå³ÉÁ¢£¬µ«ÊǶÔÕæÊµÆøÌåδ±Ø³ÉÁ¢£¬ËùÒÔÎ޽Ⱑ¡£
5Â¥2011-03-02 23:49:22
ÒÑÔÄ   ¹Ø×¢TA ¸øTA·¢ÏûÏ¢ ËÍTAºì»¨ TAµÄ»ØÌû
Ïà¹Ø°æ¿éÌø×ª ÎÒÒª¶©ÔÄÂ¥Ö÷ °ÁÄä˼µÛ µÄÖ÷Ìâ¸üÐÂ
×î¾ßÈËÆøÈÈÌûÍÆ¼ö [²é¿´È«²¿] ×÷Õß »Ø/¿´ ×îºó·¢±í
[¿¼ÑÐ] Çóµ÷¼Á +11 ÐܶþÏëÉϰ¶ 2026-04-04 11/550 2026-04-05 22:21 by ×íÎÌwl
[¿¼ÑÐ] 0817»¯Ñ§¹¤³ÌÓë¼¼ÊõÇóµ÷¼Á£¬Ò»Ö¾Ô¸Öк£Ñó319 +13 lv945 2026-04-04 13/650 2026-04-05 18:14 by Öí»á·É
[¿¼ÑÐ] 301Çóµ÷¼Á +12 121. 2026-04-04 12/600 2026-04-05 09:00 by À´¿´Á÷ÐÇÓê10
[¿¼ÑÐ] ²ÄÁϵ÷¼Á +10 ÀÁÑòÑòÇáÖÃÓñÍÎ 2026-04-02 11/550 2026-04-04 21:56 by laoshidan
[¿¼ÑÐ] 296²ÄÁÏר˶Çóµ÷¼Á +21 202451007219 2026-04-02 22/1100 2026-04-04 21:48 by hemengdong
[¿¼ÑÐ] 309Çóµ÷¼Á +6 ÁõÁõÁõ1231 2026-04-02 7/350 2026-04-04 13:41 by liucky
[¿¼ÑÐ] Ò»Ö¾Ô¸Äϲý´óѧ324Çóµ÷¼Á +13 hanamiko 2026-04-01 13/650 2026-04-03 18:30 by lsÁõ˧
[¿¼ÑÐ] 320Çóµ÷¼Á +3 ũҵ¹¤³ÌÓëÐÅÏ¢¼ 2026-04-03 3/150 2026-04-03 11:40 by ÍÁľ˶ʿÕÐÉú
[¿¼ÑÐ] 303Çóµ÷¼Á +3 һɫÇåÓð 2026-04-02 4/200 2026-04-03 10:22 by À¶ÔÆË¼Óê
[¿¼ÑÐ] ר˶ 351 086100 Ò²ÊÇ¿¼µÄ²Ä¿Æ»ù ±¾¿ÆÒ²ÊDzÄÁÏ +8 202451007219 2026-04-02 8/400 2026-04-03 09:50 by À¶ÔÆË¼Óê
[¿¼ÑÐ] Ò»Ö¾Ô¸»ªÄÏʦ·¶´óѧ-22408¼ÆËã»ú-292·Ö-Çó»ªÄÏʦ·¶´óѧµ÷¼Á +4 °®¶ÁÊéµÄСöùÓã 2026-04-02 4/200 2026-04-02 18:35 by Çóµ÷¼Ázz
[¿¼ÑÐ] 362Çóµ÷¼Á +14 Î÷ÄϽ»²ÄÁÏר˶3 2026-03-31 14/700 2026-04-02 17:50 by yunlongyang
[¿¼ÑÐ] µ÷¼Á +3 ºÃºÃ¶ÁÊé¡£ 2026-04-01 6/300 2026-04-02 15:49 by liumengping
[¿¼ÑÐ] ²ÄÁÏר˶322·Ö +11 ¹þ¹þ¹þºðºðºð¹þ 2026-04-01 11/550 2026-04-02 10:52 by lnilvy
[¿¼ÑÐ] Ò»Ö¾Ô¸±±½»´ó²ÄÁϹ¤³Ì×Ü·Ö358 +8 cs0106 2026-04-01 9/450 2026-04-02 10:36 by ²»³Ôô~µÄ؈
[¿¼ÑÐ] Ò»Ö¾Ô¸9³õÊÔ366 ±¾Ë«·ÇÇóµ÷¼Á +4 ÔËÆøÀ´µÃÈôÓÐËÆÎ 2026-04-02 4/200 2026-04-02 09:56 by guanxin1001
[¿¼ÑÐ] ÉúÎïѧ327£¬Çóµ÷¼Á +5 ÊéÉϵÄ÷×Ó 2026-04-01 6/300 2026-04-02 06:47 by ilovexiaobin
[¿¼ÑÐ] 349Çóµ÷¼Á +6 ³ÔµÄ²»ÉÙ 2026-04-01 6/300 2026-04-01 17:55 by JYD2011
[˶²©¼ÒÔ°] ¿¼Ñе÷¼Á +5 ÂæÍÕÄÐÈË 2026-04-01 5/250 2026-04-01 14:28 by syjjj0321
[¿¼ÑÐ] Çóµ÷¼Á£¬Ò»Ö¾Ô¸±±ÁÖʳƷÓëÓªÑø095500£¬301·Ö£¬ÒѹýÁù¼¶£¬ÓпÆÑо­Àú +4 ¿ìÀÖ´¢Ðî¹Þ 2026-03-31 4/200 2026-04-01 09:26 by JourneyLucky
ÐÅÏ¢Ìáʾ
ÇëÌî´¦ÀíÒâ¼û