版块导航
正在加载中...
客户端APP下载
论文辅导
申博辅导
登录
注册
帖子
帖子
用户
本版
应《网络安全法》要求,自2017年10月1日起,未进行实名认证将不得使用互联网跟帖服务。为保障您的帐号能够正常使用,请尽快对帐号进行手机号验证,感谢您的理解与支持!
24小时热门版块排行榜
>
论坛更新日志
(4365)
>
文献求助
(357)
>
虫友互识
(354)
>
导师招生
(247)
>
论文投稿
(169)
>
博后之家
(136)
>
硕博家园
(128)
>
休闲灌水
(96)
>
考博
(94)
>
招聘信息布告栏
(93)
>
基金申请
(70)
>
考研
(67)
>
论文道贺祈福
(56)
>
教师之家
(52)
>
公派出国
(48)
>
高分子
(39)
小木虫论坛-学术科研互动平台
»
生物医药区
»
药学
»
药物化学
»
【求助】核磁解析
6
1/1
返回列表
查看: 519 | 回复: 5
只看楼主
@他人
存档
新回复提醒
(忽略)
收藏
在APP中查看
f171gsg9
金虫
(小有名气)
应助: 2
(幼儿园)
金币: 845.1
帖子: 246
在线: 341.3小时
虫号: 1149968
[交流]
【求助】核磁解析
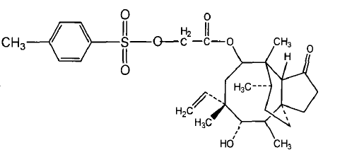
本人做了个核磁。但是化合物太复杂了。看不懂。还请高人帮我看看这是不是我想要的产物!
第一张为核磁图,第二张为希望得到的化合物。
回复此楼
» 猜你喜欢
氨基封端PDMS和HDI反应快速固化
已经有11人回复
博士申请都是内定的吗?
已经有11人回复
博士读完未来一定会好吗
已经有38人回复
谈谈两天一夜的“延安行”
已经有3人回复
之前让一硕士生水了7个发明专利,现在这7个获批发明专利的维护费可从哪儿支出哈?
已经有11人回复
论文投稿求助
已经有4人回复
Applied Surface Science 这个期刊。有哪位虫友投过的能把word模板发给我参考一下嘛
已经有3人回复
投稿精细化工
已经有6人回复
高级回复
» 本主题相关价值贴推荐,对您同样有帮助:
核磁/质谱解谱高手帮忙看看这个化合物结构怎么解析
已经有12人回复
解析核磁谱图
已经有10人回复
核磁解析软件
已经有10人回复
核磁图谱 求解析!
已经有10人回复
求助一个谱图的核磁氢谱解析
已经有8人回复
核磁三重峰解析
已经有7人回复
求助,核磁解析高手,帮忙分析一下。
已经有11人回复
【求助】求高手解析核磁图谱(含结构及谱图)
已经有18人回复
【求助】核磁谱图解析
已经有7人回复
【求助】求助波谱解析高手。。。。关于核磁
已经有9人回复
【求助】核磁解析
已经有9人回复
【求助】急求核磁谱图解析
已经有12人回复
» 抢金币啦!回帖就可以得到:
查看全部散金贴
2026上海理工大学 光学工程博士招生(优青教授课题组,集成光机电、光纤传感方向)
+
5
/285
广州,找对象
+
1
/84
香港科技大学 Abhishek Kumar Srivastava 教授课题组 招收博士生
+
1
/79
上市公司招聘电解液添加剂研发人员
+
1
/77
PhD position in microbiology and plant-pathogen interaction
+
1
/57
美国乔治亚南方大学(Georgia Southern University)招收环境分析化学全奖博士生
+
2
/56
有没有做人工智能所需的特种材料方面的老师
+
1
/26
26年-考博求助
+
1
/12
德国马普所招三名CSC博士生
+
1
/7
北京理工大学(珠海)医疗机器人实验室现招收2026年博士研究生
+
1
/6
国家“双一流”建设高校-南京林业大学-国家级青年人才团队招聘
+
1
/6
澳门科技大学药学院诚招2026年秋季药剂学/生物材料方向博士研究生
+
1
/6
年底招聘有机合成
+
1
/6
辽宁大学环境工程招收“申请考核”制博士研究生1名(环境工程)(2026年)
+
1
/4
哈工大机电工程学院-博士招生
+
1
/4
荷兰奈梅亨大学招收2026 CSC博士: 非线性控制与神经调控
+
1
/3
🎓 澳门理工大学李克峰团队 2026年博士招生启事
+
1
/3
SCI文章辅助,无人机、计算机网络通信、算法方向
+
1
/3
SCI文章辅助,无人机、计算机网络通信、算法方向
+
1
/2
华中农业大学生命科学技术学院 “酶智能设计与农药生物合成”课题组招聘启事
+
1
/1
1楼
2011-02-24 14:54:55
已阅
回复此楼
关注TA
给TA发消息
送TA红花
TA的回帖
louluv
木虫
(著名写手)
应助: 71
(初中生)
贵宾: 0.33
金币: 1377.2
帖子: 1864
在线: 3773小时
虫号: 862161
★
f171gsg9(金币+1): 2011-02-26 09:42:38
qinhy(金币+1): O(∩_∩)O谢谢~ 2011-02-28 18:32:37
这个您应该有相应的参考文献吧,
不然单凭氢谱,应该不好确定化合物的结构,
希望楼主可以提供相关的文献,省的别人花时间查文献。
大概可看了一下,应该问题不大,但是脂肪环那里不好确定。
赞
一下
(1人)
回复此楼
2楼
2011-02-24 21:29:04
已阅
回复此楼
关注TA
给TA发消息
送TA红花
TA的回帖
f171gsg9
金虫
(小有名气)
应助: 2
(幼儿园)
金币: 845.1
帖子: 246
在线: 341.3小时
虫号: 1149968
引用回帖:
Originally posted by
louluv
at 2011-02-24 21:29:04:
这个您应该有相应的参考文献吧,
不然单凭氢谱,应该不好确定化合物的结构,
希望楼主可以提供相关的文献,省的别人花时间查文献。
大概可看了一下,应该问题不大,但是脂肪环那里不好确定。
谢谢你的建议。我这方面的知识也少。以为光弄个氢谱就行了。还希望您能具体说一下要什么样的资料。而且我这课题的资料也少。有一篇硕士论文的氢谱,我看的几乎差不多,先发上去。希望能帮我看看。
赞
一下
回复此楼
3楼
2011-02-26 09:48:29
已阅
回复此楼
关注TA
给TA发消息
送TA红花
TA的回帖
louluv
木虫
(著名写手)
应助: 71
(初中生)
贵宾: 0.33
金币: 1377.2
帖子: 1864
在线: 3773小时
虫号: 862161
f171gsg9(金币+1): 谢谢指教! 2011-02-26 13:49:58
嗯,这个化合物和您的目标化合物是一样的吧?
您可以先看看上面这个硕士论文里的谱图和您自己的谱图,有什么不同之处。
赞
一下
回复此楼
4楼
2011-02-26 12:57:03
已阅
回复此楼
关注TA
给TA发消息
送TA红花
TA的回帖
幸福云景
木虫
(著名写手)
应助: 44
(小学生)
金币: 4705.4
帖子: 1492
在线: 191.2小时
虫号: 1075913
f171gsg9(金币+1): 谢谢 2011-03-02 19:41:30
我可以给你个建议,你可以用Chem draw 画出这个分子的结构式,然后模拟出该化合物的氢谱,上面有各个氢的归宿,你可以对照你做的核磁谱图,然后就可以确定了。我在做实验,现在没有时间给你画了,你自己试一试吧,应该可以。
赞
一下
回复此楼
5楼
2011-03-02 18:32:10
已阅
回复此楼
关注TA
给TA发消息
送TA红花
TA的回帖
CPU卡因
金虫
(小有名气)
应助: 0
(幼儿园)
金币: 874.5
帖子: 145
在线: 33.3小时
虫号: 845650
4L的建议很好
回复此楼
6楼
2011-03-05 13:04:55
已阅
回复此楼
关注TA
给TA发消息
送TA红花
TA的回帖
相关版块跳转
新药研发
药学
药品生产
分子生物
微生物
动植物
生物科学
医学
我要订阅楼主
f171gsg9
的主题更新
6
1/1
返回列表
如果回帖内容含有宣传信息,请如实选中。否则帐号将被全论坛禁言
普通表情
龙
兔
虎
猫
高级回复
(可上传附件)
百度网盘
|
360云盘
|
千易网盘
|
华为网盘
在新窗口页面中打开自己喜欢的网盘网站,将文件上传后,然后将下载链接复制到帖子内容中就可以了。
信息提示
关闭
请填处理意见
关闭
确定