| 查看: 685 | 回复: 1 | ||
[求助]
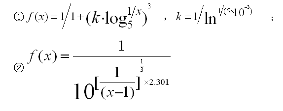
求助MATLAB计算一个公式的语法怎么写
|
||
|
|
||
dudu_雪儿木虫 (著名写手)
|
【答案】应助回帖
|
|
![]() |
||
|
2楼2011-05-15 12:05:46
|
|














回复此楼
