24小时热门版块排行榜    

Znn3bq.jpeg
查看: 1028  |  回复: 2

hitlost

铜虫 (小有名气)

[交流] 【求助】对二阶双曲线偏微分方程求解,具体题目见帖子 已有1人参与

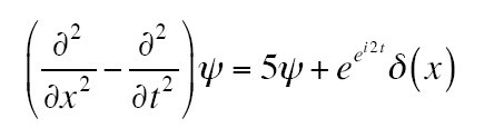
由图中偏微分方程求 fi, 无边界条件

请问除了迭代这题有没有其它解法,谢谢

本文来自: 小木虫论坛 http://muchong.com/bbs/viewthread.php?tid=2845465&fpage=1
回复此楼
已阅   回复此楼   关注TA 给TA发消息 送TA红花 TA的回帖

终之太刀—晓

铁杆木虫 (著名写手)

数学爱好者


小木虫: 金币+0.5, 给个红包,谢谢回帖
请问楼主有没有初始条件呢?
PreferenceforMathematics
2楼2014-11-02 23:39:34
已阅   回复此楼   关注TA 给TA发消息 送TA红花 TA的回帖

终之太刀—晓

铁杆木虫 (著名写手)

数学爱好者


小木虫: 金币+0.5, 给个红包,谢谢回帖
只是觉得楼主有一项有没有打错了,那个e^(e^i2t),我觉得应该只是e^i2t。因为这样能写出解析解表达式。
如果楼主只是需要数值解,那么就不用管了。
【求助】对二阶双曲线偏微分方程求解,具体题目见帖子
1.png

PreferenceforMathematics
3楼2014-11-03 01:56:12
已阅   回复此楼   关注TA 给TA发消息 送TA红花 TA的回帖
相关版块跳转 我要订阅楼主 hitlost 的主题更新
普通表情 高级回复 (可上传附件)
最具人气热帖推荐 [查看全部] 作者 回/看 最后发表
[考研] 290调剂生物0860 +11 哇哈哈,。 2026-04-11 12/600 2026-04-11 17:19 by yuyin1233
[考研] 305求调剂 +5 玛卡巴卡boom 2026-04-11 5/250 2026-04-11 16:18 by 闲人终南山
[考研] 283求调剂 +22 那个噜子 2026-04-09 22/1100 2026-04-11 10:41 by 逆水乘风
[考研] 电气专硕320求调剂 +4 小麻子111 2026-04-10 4/200 2026-04-11 10:16 by Delta2012
[考研] 广东省 085601 329分求调剂 +14 Eddieddd 2026-04-10 14/700 2026-04-11 09:58 by bljnqdcc
[考研] 本科211 工科085400 280分求调剂 可跨专业 +11 LZH(等待调剂中 2026-04-10 11/550 2026-04-11 08:39 by zhq0425
[考研] 301求调剂 +5 149. 2026-04-10 5/250 2026-04-10 15:45 by 柴小白
[基金申请] 有爆料,一个青年教师卖房得400万,然后换了一个四青帽子 +9 babu2015 2026-04-08 9/450 2026-04-10 11:43 by 苏东坡二世
[考研] 求调剂 +16 熊二想上岸 2026-04-04 16/800 2026-04-10 11:24 by may_新宇
[考研] 08工学 309分求调剂 +6 Yin DY 2026-04-08 6/300 2026-04-10 09:18 by Delta2012
[考研] 一志愿2110,化学学硕310分,本科重点双非求调剂 +18 努力奋斗112 2026-04-08 18/900 2026-04-09 23:28 by wolf97
[考研] 314求调剂 +14 weltZeng 2026-04-09 14/700 2026-04-09 23:14 by wolf97
[考研] 368化学求调剂 +13 wwwwabcde 2026-04-07 14/700 2026-04-09 14:47 by heaven_jay
[考研] 材料307分求大佬组收留 +17 Hll胡 2026-04-07 17/850 2026-04-09 10:53 by liuhuiying09
[考研] 334求调剂 +16 Riot2025 2026-04-08 17/850 2026-04-09 09:28 by wdyheheeh
[考研] 312求调剂 +4 Say Never 2026-04-04 4/200 2026-04-08 08:41 by barlinike
[考研] 318求调剂 +5 李青山山山 2026-04-07 5/250 2026-04-07 18:24 by 蓝云思雨
[考研] 325 调剂 +6 QQ小虾 2026-04-07 6/300 2026-04-07 15:17 by Ccclqqq
[考研] 复试调剂 +5 asdasdassda 2026-04-05 5/250 2026-04-06 09:32 by dongzh2009
[考研] 325求调剂 +4 春风不借意 2026-04-04 4/200 2026-04-04 22:08 by 啵啵啵0119
信息提示
请填处理意见